Официальное опубликование правовых актов
ОФИЦИАЛЬНОЕ ОПУБЛИКОВАНИЕ
Постановление Государственной инспекции по охране объектов культурного наследия Рязанской области от 14.10.2019 № 5-п
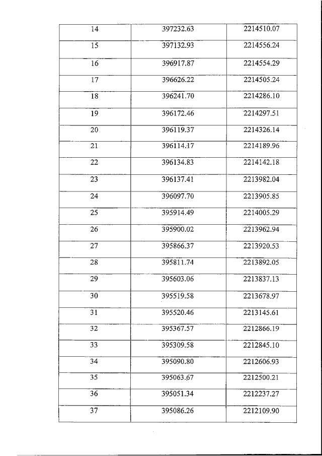
"О внесении изменений в постановление от 29.01.2016 г. № 1-п "Об утверждении требований к осуществлению деятельности в границах территории достопримечательного места, ограничений использования лесов и требований к градостроительному регламенту в границах территории достопримечательного места, включая требования к видам разрешенного использования земельных участков, к хозяйственной деятельности на земельных участках в границах территории объекта культурного наследия регионального значения "Достопримечательное место, связанное с жизнью и творчеством А.А. Тарковского", Рязанская область, Путятинский район, п. Мясной"
Номер опубликования: 6201201910150002
Дата опубликования: 15.10.2019
Страница №15 из 16:
Увеличить