Постановление Главного управления "Региональная энергетическая комиссия" Рязанской области от 13.12.2018 № 371
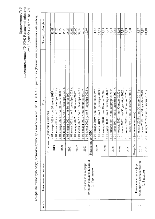
"Об установлении тарифов на питьевую воду в сфере холодного водоснабжения, водоотведение для потребителей МКП ЖКХ "Кристалл" (Рязанский муниципальный район)"
"Об установлении тарифов на питьевую воду в сфере холодного водоснабжения, водоотведение для потребителей МКП ЖКХ "Кристалл" (Рязанский муниципальный район)"
Номер опубликования: 6201201812180025
Дата опубликования:
18.12.2018
