Официальное опубликование правовых актов
ОФИЦИАЛЬНОЕ ОПУБЛИКОВАНИЕ
Постановление Главного управления "Региональная энергетическая комиссия" Рязанской области от 27.11.2018 № 232
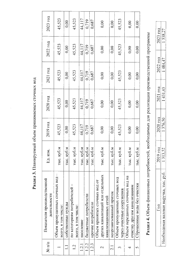
"Об установлении тарифов на питьевую воду в сфере холодного водоснабжения, водоотведение для потребителей гарантирующей организации ООО "Подлипкисервис" в с. Подлипки Торбаевского сельского поселения Касимовского муниципального района"
Номер опубликования: 6201201811300012
Дата опубликования: 30.11.2018
Страница №8 из 14:
Увеличить