Официальное опубликование правовых актов
ОФИЦИАЛЬНОЕ ОПУБЛИКОВАНИЕ
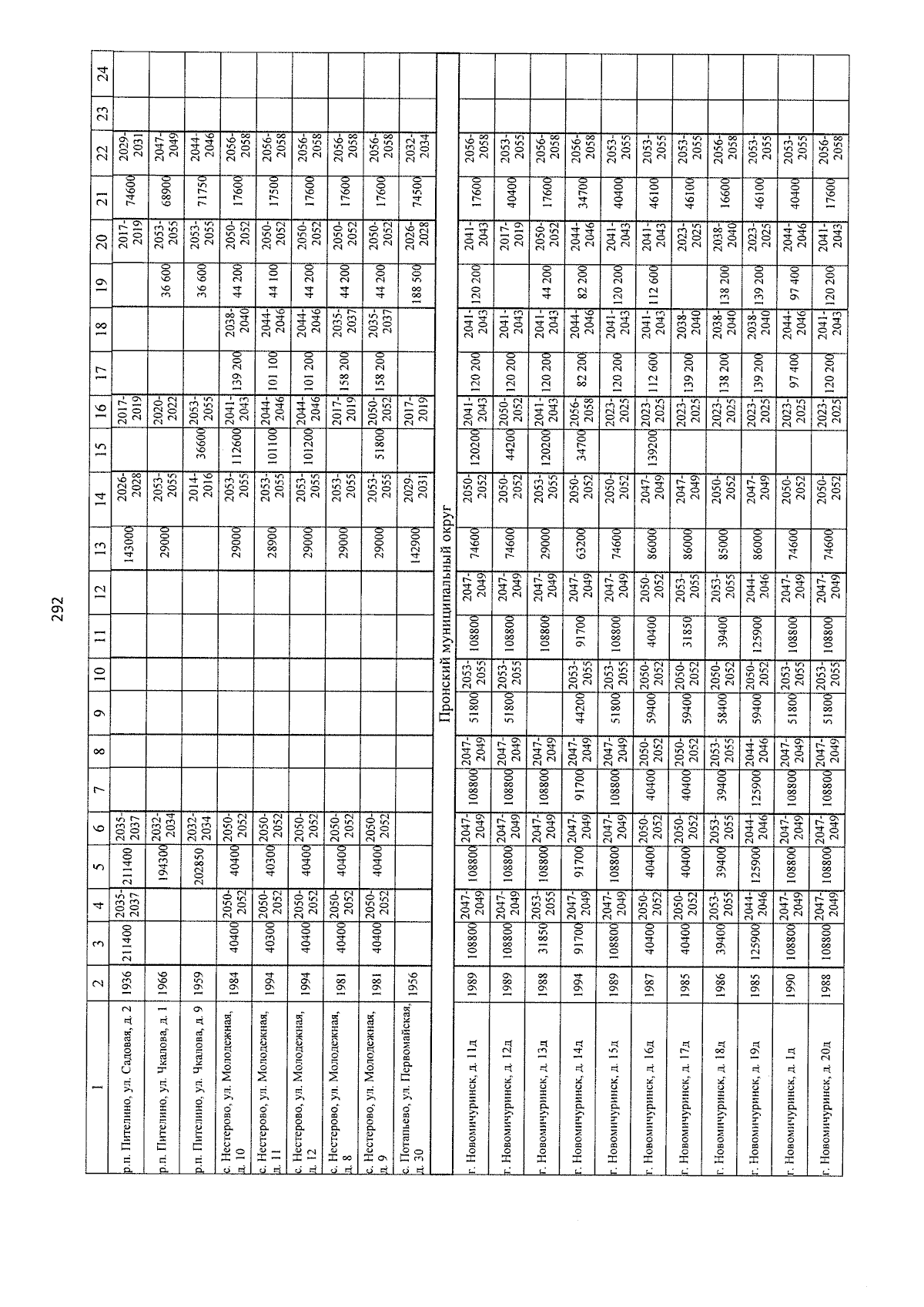
Постановление Правительства Рязанской области от 29.12.2025 № 417
"О внесении изменения в постановление Правительства Рязанской области от 12 февраля 2014 г. № 26 "Об утверждении региональной программы капитального ремонта общего имущества в многоквартирных домах" (в редакции постановлений Правительства Рязанской области от 15.10.2014 № 293, от 11.06.2015 № 140, от 13.07.2016 № 158, от 28.12.2016 № 332, от 31.10.2017 № 271, от 29.12.2017 № 424, от 28.12.2018 № 422, от 22.05.2019 № 144, от 27.12.2019 № 444, от 30.12.2020 № 387, от 29.12.2021 № 441, от 06.12.2022 № 454, от 28.12.2023 № 544, от 21.02.2024 № 48, от 23.07.2024 № 226, от 27.12.2024 № 441, от 11.03.2025 № 82, от 30.06.2025 № 211)"
Номер опубликования: 6200202512300003
Дата опубликования: 30.12.2025
Страница №293 из 641:
Увеличить