Официальное опубликование правовых актов
ОФИЦИАЛЬНОЕ ОПУБЛИКОВАНИЕ
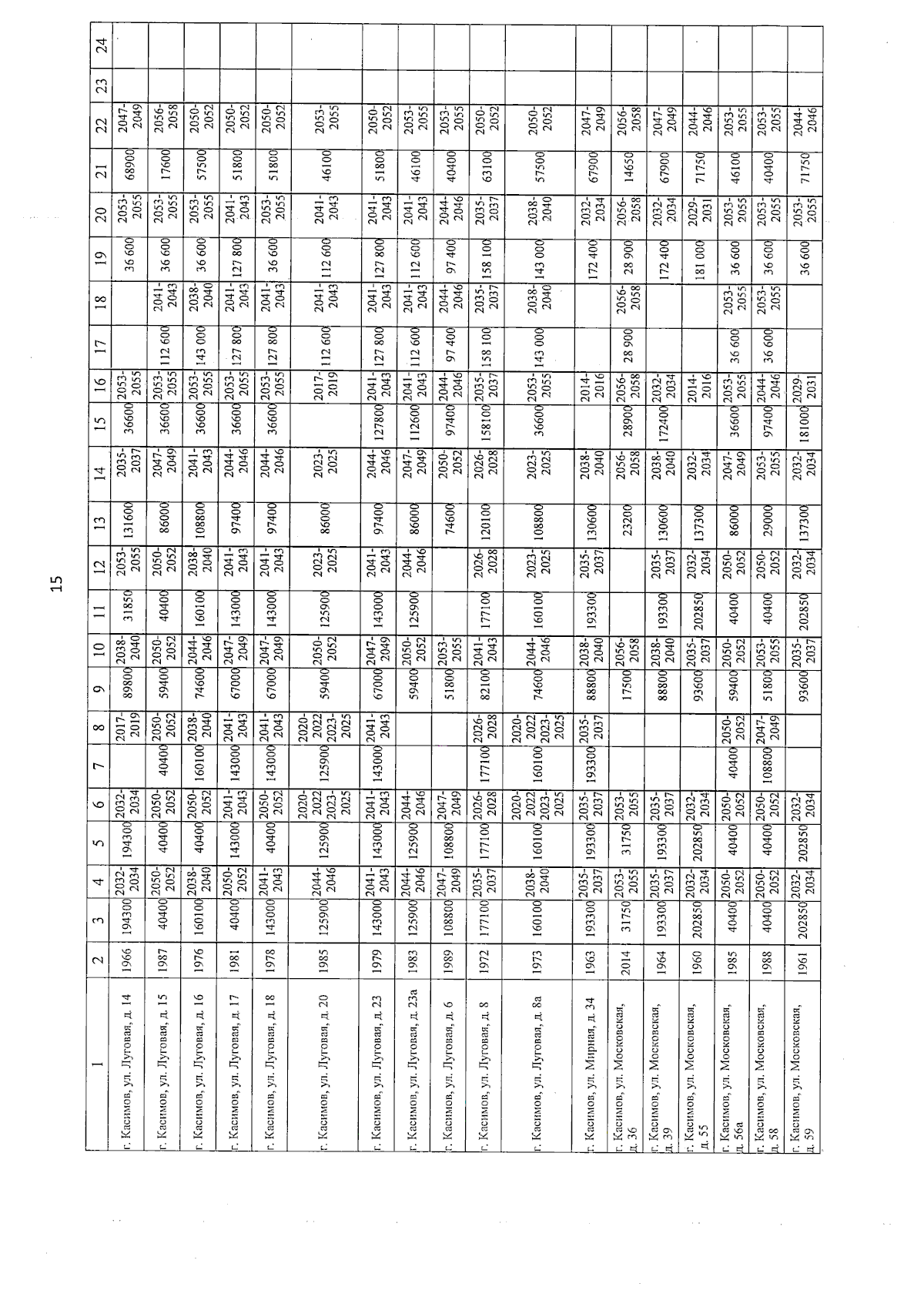
Постановление Правительства Рязанской области от 30.06.2025 № 211
"О внесении изменений в постановление Правительства Рязанской области от 12 февраля 2014 г. № 26 "Об утверждении региональной программы капитального ремонта общего имущества в многоквартирных домах" (в редакции постановлений Правительства Рязанской области от 15.10.2014 № 293, от 11.06.2015 № 140, от 13.07.2016 № 158, от 28.12.2016 № 332, от 31.10.2017 № 271, от 29.12.2017 № 424, от 28.12.2018 № 422, от 22.05.2019 № 144, от 27.12.2019 № 444, от 30.12.2020 № 387, от 29.12.2021 № 441, от 06.12.2022 № 454, от 28.12.2023 № 544, от 21.02.2024 № 48, от 23.07.2024 № 226, от 27.12.2024 № 441, от 11.03.2025 № 82)"
Номер опубликования: 6200202507030005
Дата опубликования: 03.07.2025
Страница №16 из 633:
Увеличить