Официальное опубликование правовых актов
ОФИЦИАЛЬНОЕ ОПУБЛИКОВАНИЕ
Закон Рязанской области от 03.06.2025 № 51-ОЗ
"О преобразовании муниципальных образований Чучковского муниципального района Рязанской области, внесении изменений в отдельные законодательные акты Рязанской области, признании утратившими силу отдельных положений законодательных актов Рязанской области и признании утратившими силу отдельных законодательных актов Рязанской области"
Номер опубликования: 6200202506040008
Дата опубликования: 04.06.2025
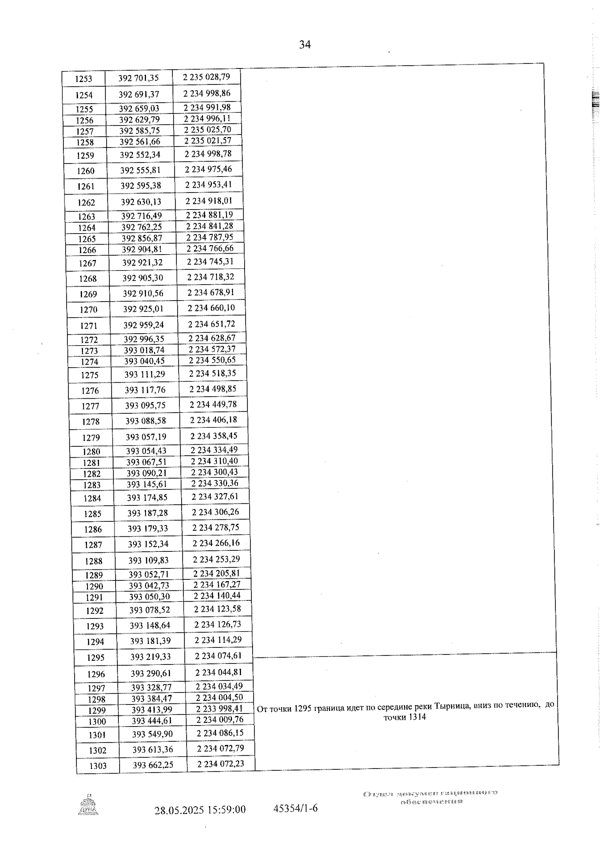
Страница №34 из 45:
Увеличить