Официальное опубликование правовых актов
ОФИЦИАЛЬНОЕ ОПУБЛИКОВАНИЕ
Закон Рязанской области от 03.06.2025 № 49-ОЗ
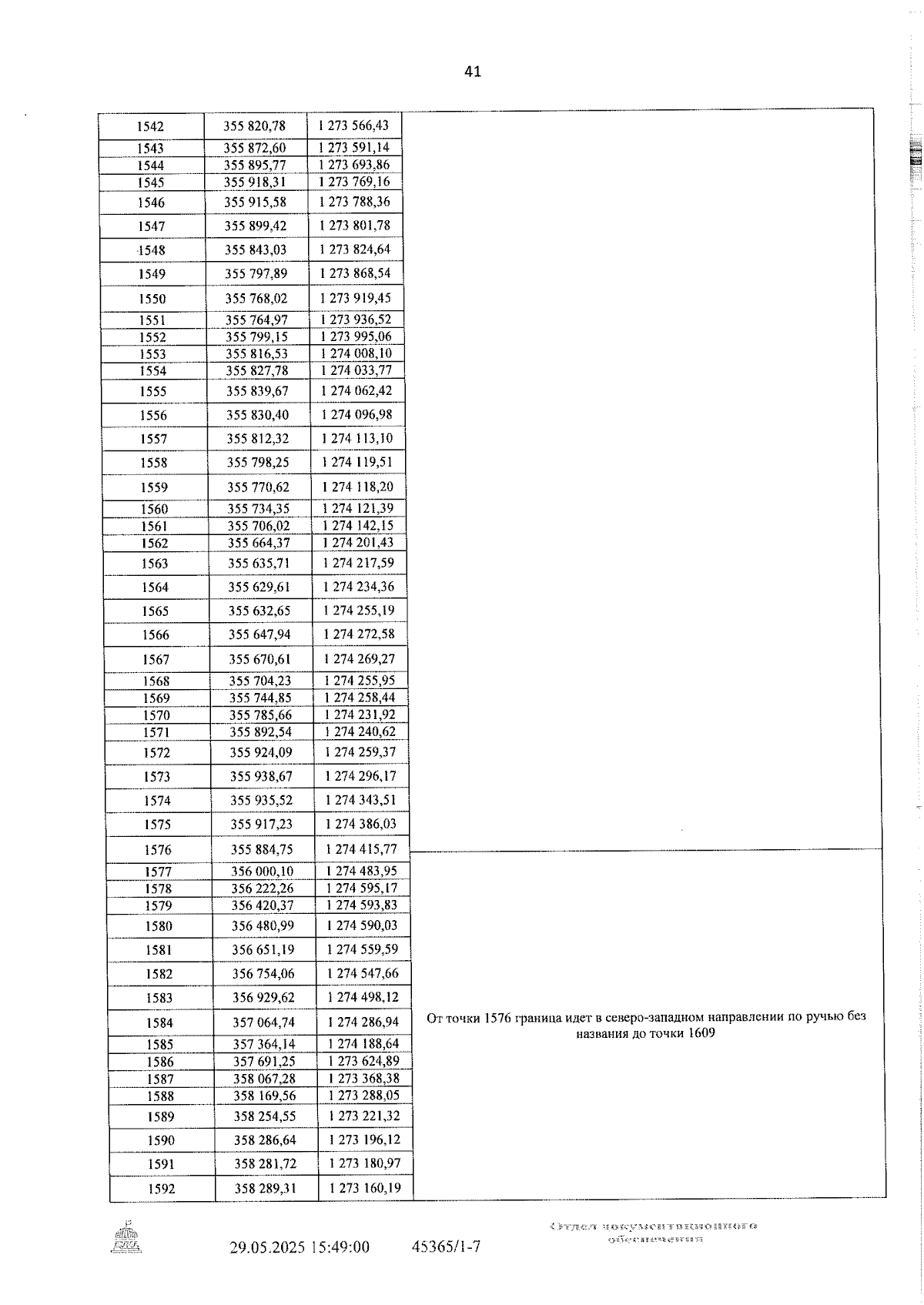
"О преобразовании муниципальных образований Рязанской области путем объединения поселений, входящих в состав Скопинского муниципального района Рязанской области, с городским округом город Скопин Рязанской области и наделении городского округа город Скопин статусом муниципального округа, внесении изменений в отдельные законодательные акты Рязанской области, признании утратившими силу отдельных положений законодательных актов Рязанской области и признании утратившими силу отдельных законодательных актов Рязанской области"
Номер опубликования: 6200202506040005
Дата опубликования: 04.06.2025
Страница №41 из 59:
Увеличить