Официальное опубликование правовых актов
ОФИЦИАЛЬНОЕ ОПУБЛИКОВАНИЕ
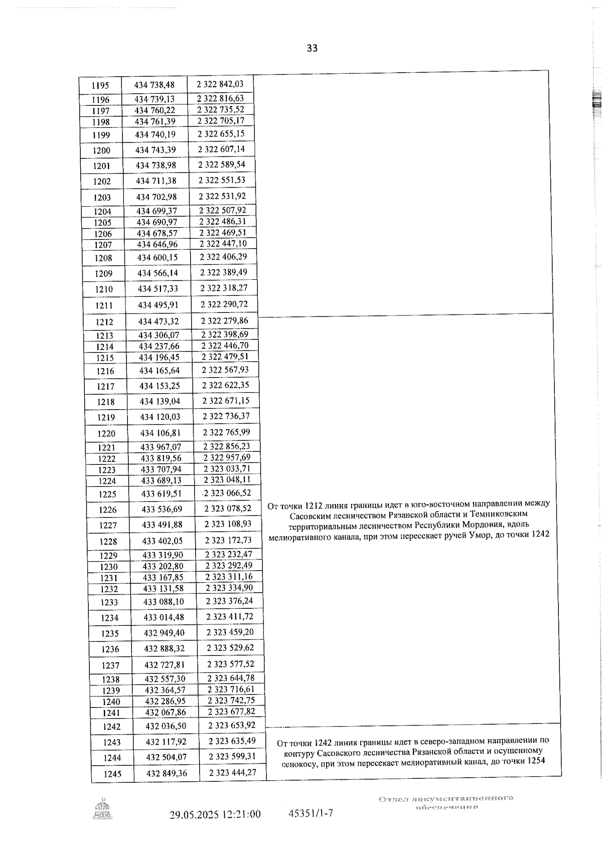
Закон Рязанской области от 03.06.2025 № 46-ОЗ
"О преобразовании муниципальных образований Кадомского муниципального района Рязанской области, внесении изменений в отдельные законодательные акты Рязанской области и признании утратившими силу отдельных законодательных актов Рязанской области"
Номер опубликования: 6200202506040004
Дата опубликования: 04.06.2025
Страница №33 из 78:
Увеличить