Официальное опубликование правовых актов
ОФИЦИАЛЬНОЕ ОПУБЛИКОВАНИЕ
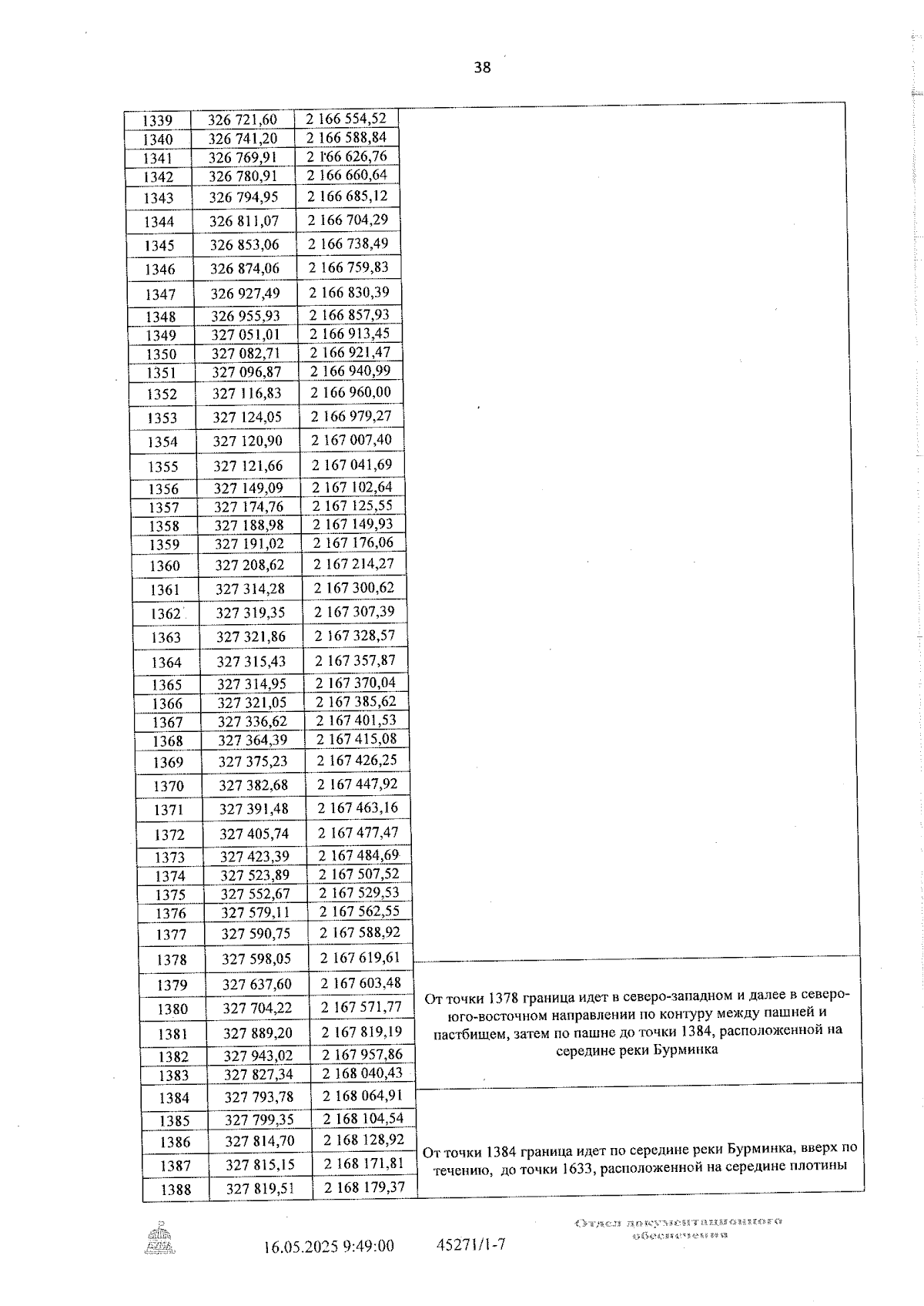
Закон Рязанской области от 26.05.2025 № 41-ОЗ
"О преобразовании муниципальных образований Александро-Невского муниципального района Рязанской области, внесении изменений в отдельные законодательные акты Рязанской области и признании утратившими силу отдельных законодательных актов Рязанской области"
Номер опубликования: 6200202505270006
Дата опубликования: 27.05.2025
Страница №38 из 51:
Увеличить