Официальное опубликование правовых актов
ОФИЦИАЛЬНОЕ ОПУБЛИКОВАНИЕ
Закон Рязанской области от 26.05.2025 № 38-ОЗ
"О преобразовании муниципальных образований Сараевского муниципального района Рязанской области, внесении изменений в отдельные законодательные акты Рязанской области и признании утратившими силу отдельных законодательных актов Рязанской области"
Номер опубликования: 6200202505270001
Дата опубликования: 27.05.2025
Страница №29 из 43:
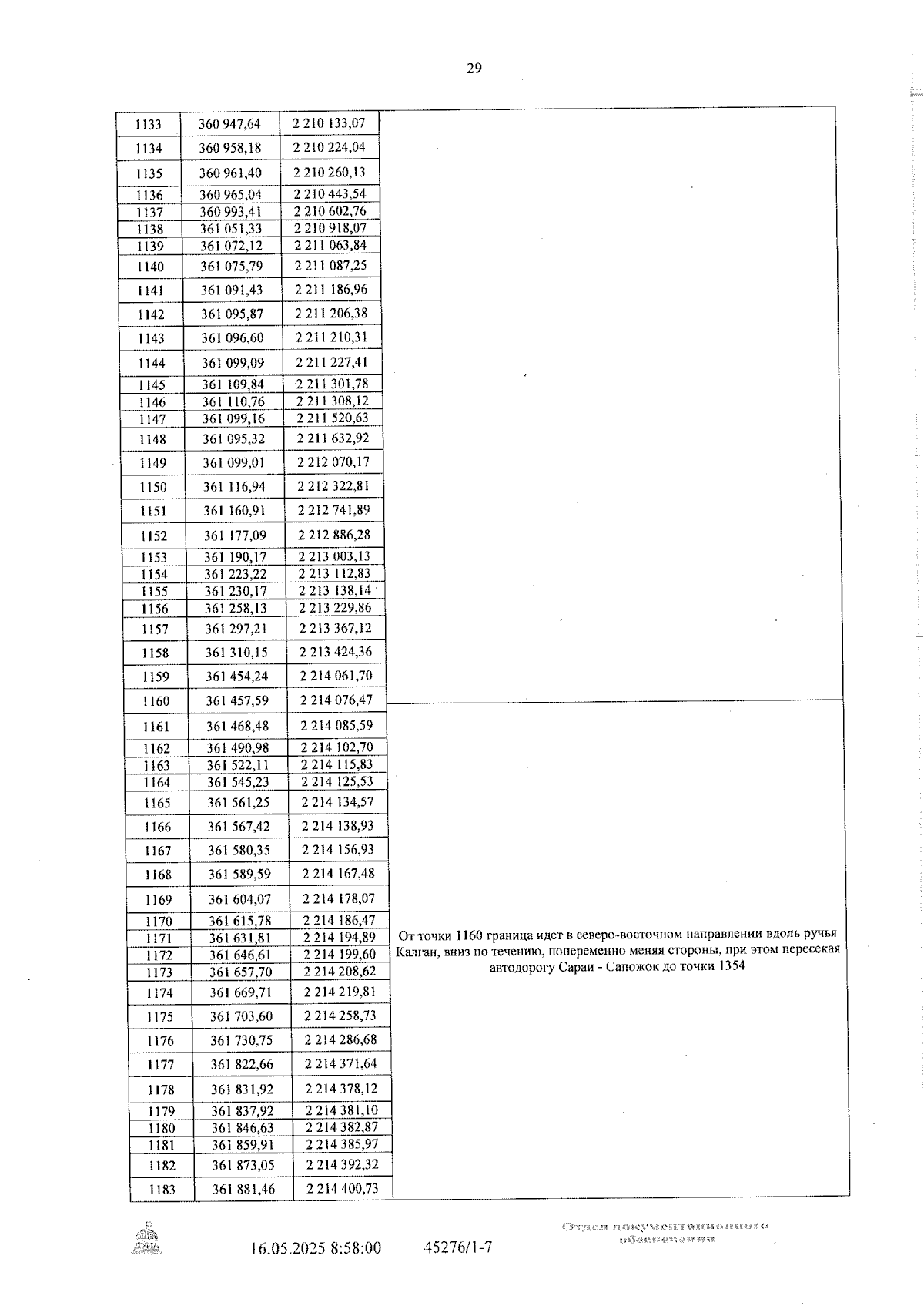
Увеличить