Официальное опубликование правовых актов
ОФИЦИАЛЬНОЕ ОПУБЛИКОВАНИЕ
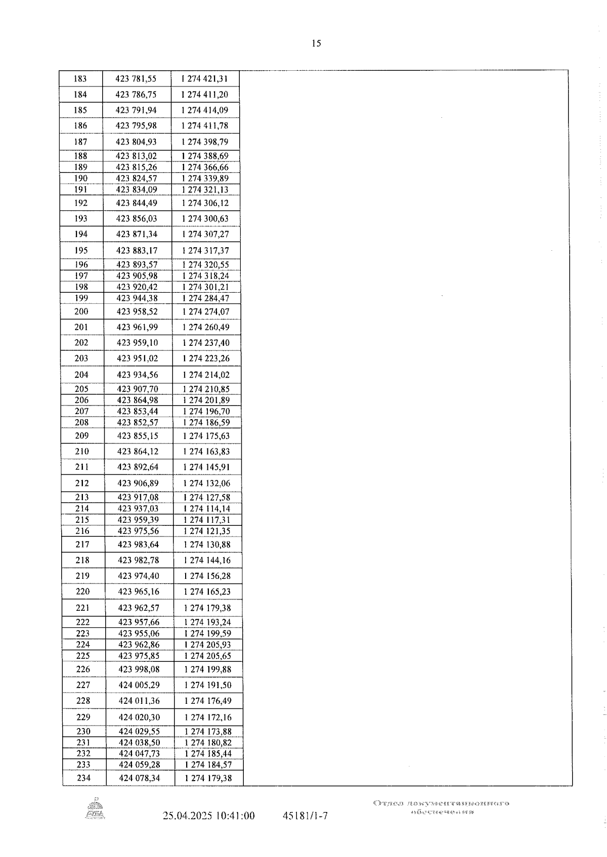
Закон Рязанской области от 05.05.2025 № 28-ОЗ
"О преобразовании муниципальных образований Захаровского муниципального района Рязанской области, внесении изменений в отдельные законодательные акты Рязанской области, признании утратившими силу отдельных положений законодательных актов Рязанской области и признании утратившими силу отдельных законодательных актов Рязанской области"
Номер опубликования: 6200202505060004
Дата опубликования: 06.05.2025
Страница №15 из 89:
Увеличить