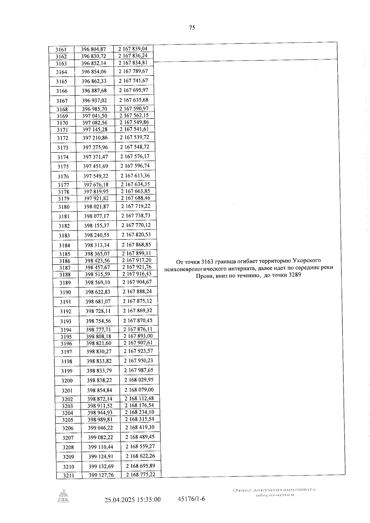
Закон Рязанской области от 05.05.2025 № 31-ОЗ
"О преобразовании муниципальных образований Спасского муниципального района Рязанской области, внесении изменений в отдельные законодательные акты Рязанской области, признании утратившими силу отдельных положений законодательных актов Рязанской области и признании утратившими силу отдельных законодательных актов Рязанской области"
"О преобразовании муниципальных образований Спасского муниципального района Рязанской области, внесении изменений в отдельные законодательные акты Рязанской области, признании утратившими силу отдельных положений законодательных актов Рязанской области и признании утратившими силу отдельных законодательных актов Рязанской области"
Номер опубликования: 6200202505060001
Дата опубликования:
06.05.2025
