Официальное опубликование правовых актов
ОФИЦИАЛЬНОЕ ОПУБЛИКОВАНИЕ
Постановление Правительства Рязанской области от 22.10.2024 № 340
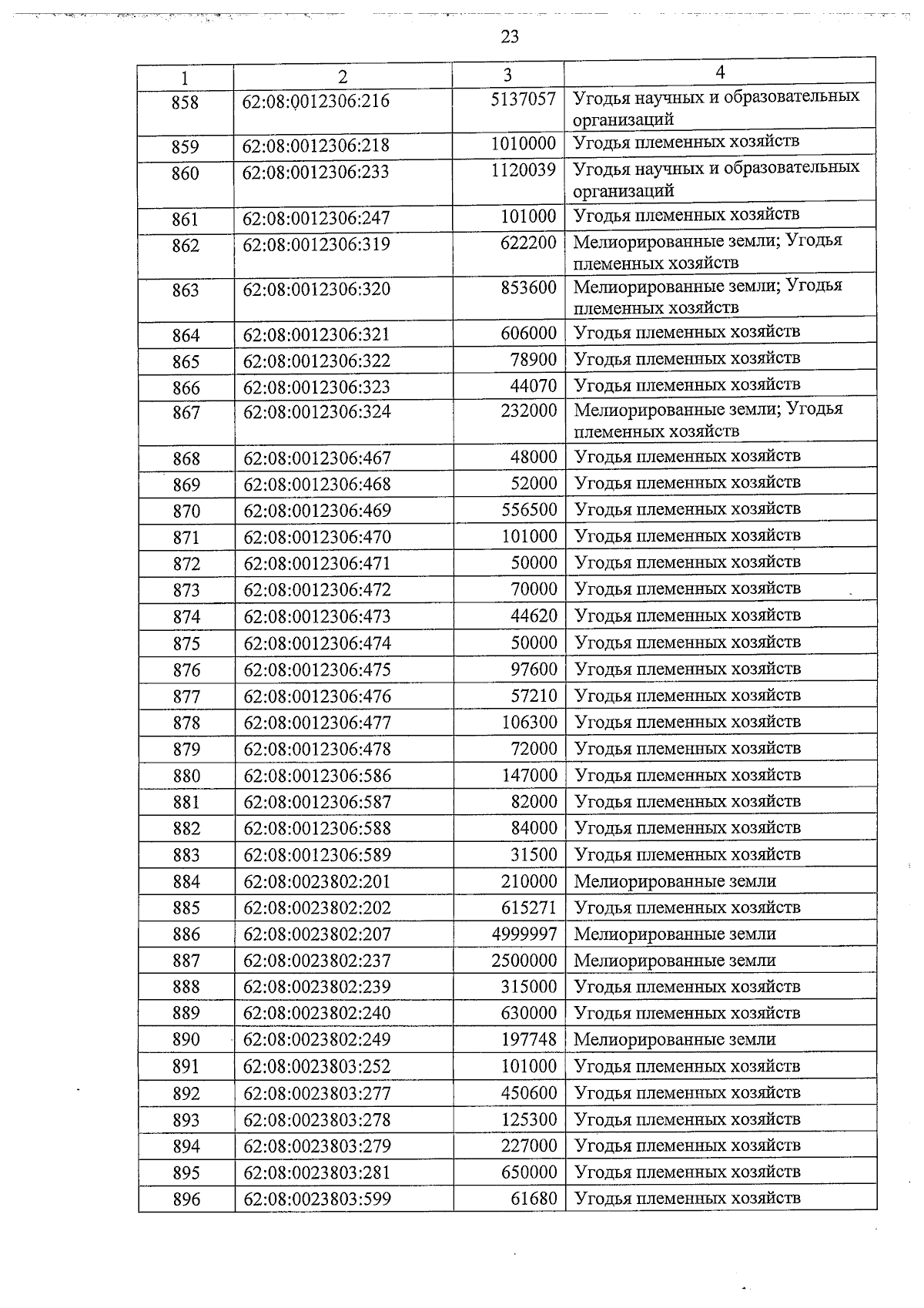
"О внесении изменения в постановление Правительства Рязанской области от 10 ноября 2016 г. № 253 "Об утверждении перечня особо ценных продуктивных сельскохозяйственных угодий на территории Рязанской области, использование которых для других целей не допускается" (в редакции постановлений Правительства Рязанской области от 31.10.2018 № 304, от 08.02.2022 № 33, от 29.11.2022 № 437, от 31.01.2023 № 34, от 14.03.2023 № 84, от 15.08.2023 № 307, от 08.05.2024 № 136, от 03.06.2024 № 176)"
Номер опубликования: 6200202410250001
Дата опубликования: 25.10.2024
Страница №24 из 100:
Увеличить