Официальное опубликование правовых актов
ОФИЦИАЛЬНОЕ ОПУБЛИКОВАНИЕ
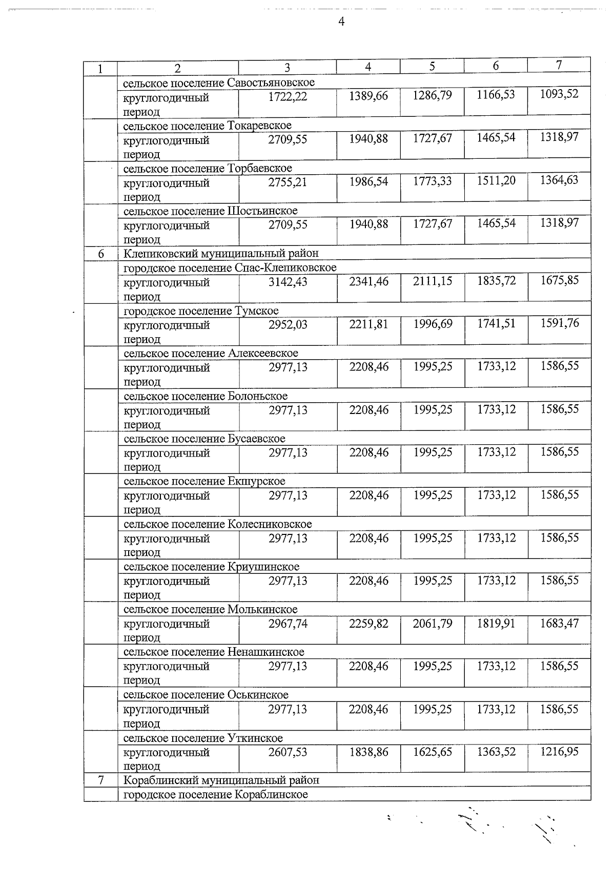
Постановление Правительства Рязанской области от 13.08.2024 № 258
"О региональном стандарте стоимости жилищно-коммунальных услуг"
Номер опубликования: 6200202408160004
Дата опубликования: 16.08.2024
Страница №53 из 64:
Увеличить