Официальное опубликование правовых актов
ОФИЦИАЛЬНОЕ ОПУБЛИКОВАНИЕ
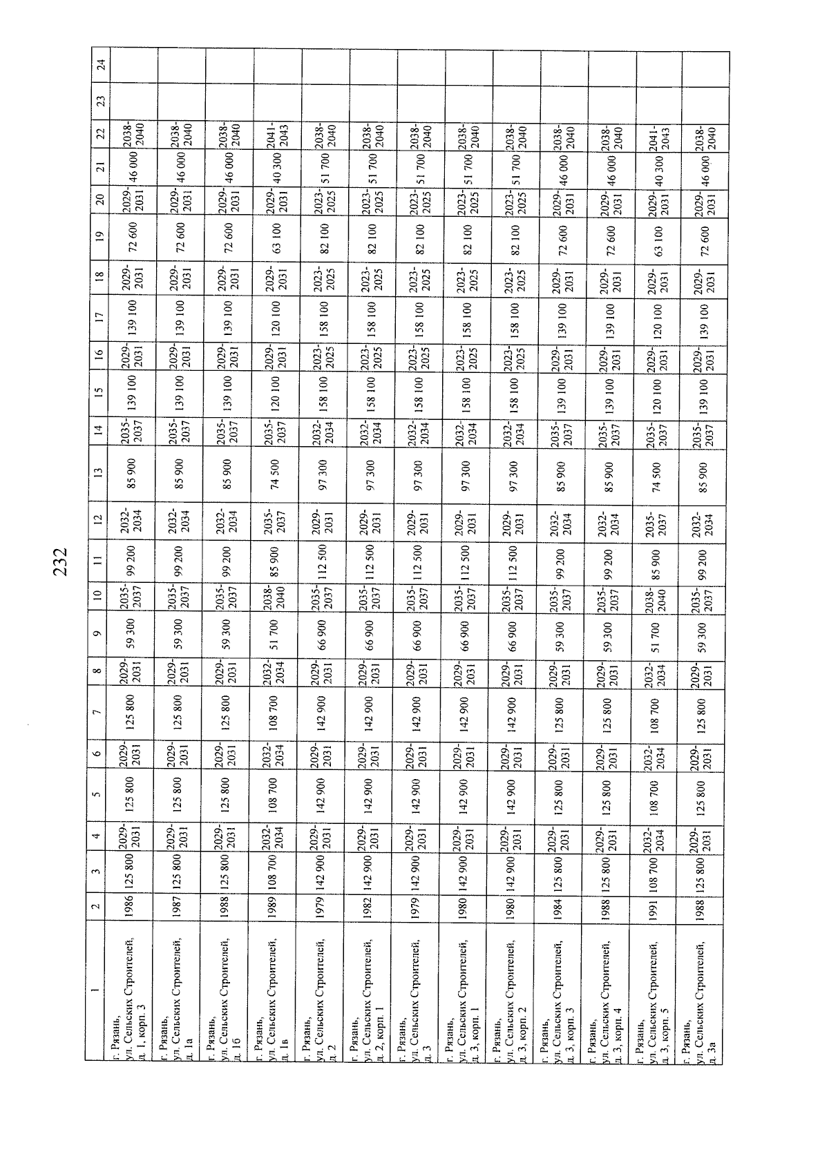
Постановление Правительства Рязанской области от 21.02.2024 № 48
"О внесении изменения в постановление Правительства Рязанской области от 12 февраля 2014 года № 26 «Об утверждении региональной программы капитального ремонта общего имущества в многоквартирных домах» (в редакции постановлений Правительства Рязанской области от 15.10.2014 № 293, от 11.06.2015 № 140, от 13.07.2016 № 158, от 28.12.2016 № 332, от 31.10.2017 № 271, от 29.12.2017 № 424, от 28.12.2018 № 422, от 22.05.2019 № 144, от 27.12.2019 № 444, от 30.12.2020 № 387, от 29.12.2021 № 441, от 06.12.2022 № 454, от 28.12.2023 № 544)"
Номер опубликования: 6200202402260014
Дата опубликования: 26.02.2024
Страница №233 из 793:
Увеличить