Официальное опубликование правовых актов
ОФИЦИАЛЬНОЕ ОПУБЛИКОВАНИЕ
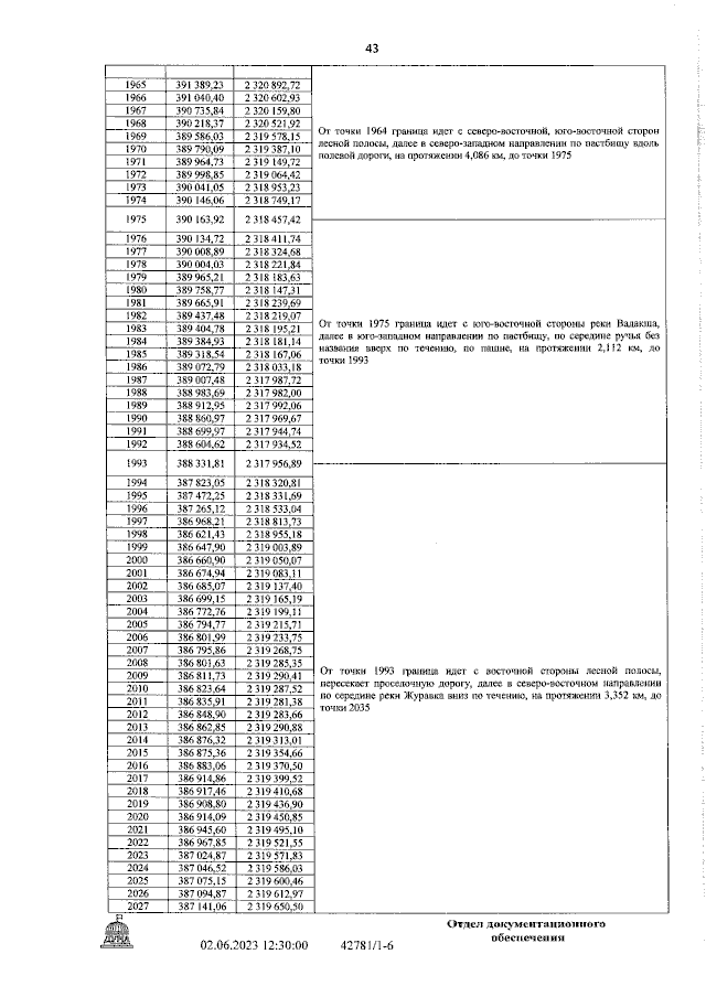
Закон Рязанской области от 08.06.2023 № 50-ОЗ
"О преобразовании муниципальных образований Рязанской области путем объединения поселений, входящих в состав Сасовского муниципального района Рязанской области, с городским округом город Сасово Рязанской области и наделении городского округа город Сасово статусом муниципального округа, внесении изменений в отдельные законодательные акты Рязанской области и признании утратившими силу отдельных законодательных актов Рязанской области"
Номер опубликования: 6200202306090010
Дата опубликования: 09.06.2023
Страница №43 из 58:
Увеличить