Официальное опубликование правовых актов
ОФИЦИАЛЬНОЕ ОПУБЛИКОВАНИЕ
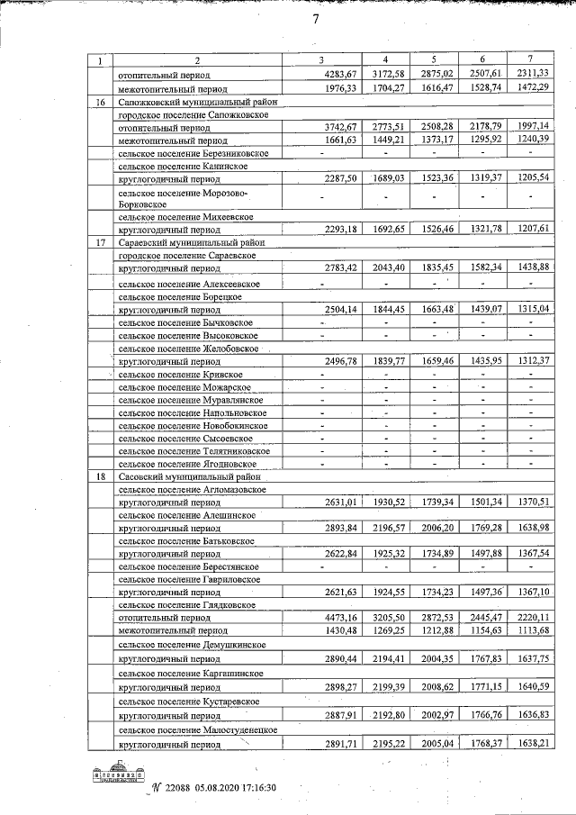
Постановление Правительства Рязанской области от 11.08.2020 № 200
"О региональном стандарте стоимости жилищно-коммунальных услуг"
Номер опубликования: 6200202008140001
Дата опубликования: 14.08.2020
Страница №29 из 44:
Увеличить