Официальное опубликование правовых актов
ОФИЦИАЛЬНОЕ ОПУБЛИКОВАНИЕ
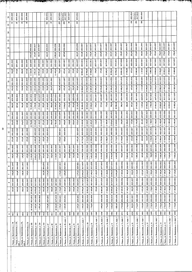
Постановление Правительства Рязанской области от 31.10.2017 № 271
"О внесении изменений в постановление Правительства Рязанской области от 12.02.2014 № 26 "Об утверждении региональной программы капитального ремонта общего имущества в многоквартирных домах" (в редакции постановлений Правительства Рязанской области от 15.10.2014 № 293, от 11.06.2015 № 140, от 13.07.2016 № 158, от 28.12.2016 № 332)"
Номер опубликования: 6200201711070003
Дата опубликования: 07.11.2017
Страница №33 из 198:
Увеличить