Официальное опубликование правовых актов
ОФИЦИАЛЬНОЕ ОПУБЛИКОВАНИЕ
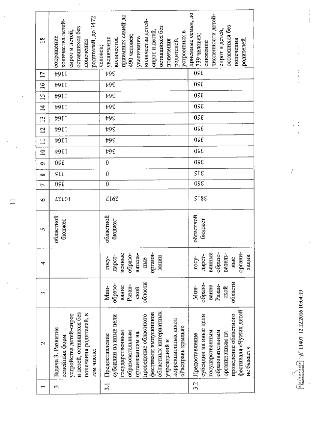
Постановление Правительства Рязанской области от 14.12.2016 № 289
"О внесении изменений в постановление Правительства Рязанской области от 30 октября 2013 г. № 344 "Об утверждении государственной программы Рязанской области "Развитие образования на 2014-2025 годы" (в редакции постановлений Правительства Рязанской области от 30.04.2014 № 121, от 23.07.2014 № 213, от 29.08.2014 № 244,от 29.10.2014 № 313, от 17.12.2014 № 373, от 18.03.2015 № 47,от 20.05.2015 № 105, от 04.06.2015 № 127, от 15.07.2015 № 169,от 30.09.2015 № 248, от 23.12.2015 № 327, от 10.02.2016 № 13,от 12.02.2016 № 22, от 23.03.2016 № 55, от 20.04.2016 № 82, от 01.06.2016 № 117, от 28.09.2016 № 224, от 07.12.2016 № 282)"
Номер опубликования: 6200201612190007
Дата опубликования: 19.12.2016
Страница №183 из 187:
Увеличить