Официальное опубликование правовых актов
ОФИЦИАЛЬНОЕ ОПУБЛИКОВАНИЕ
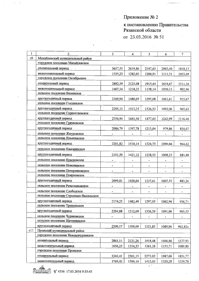
Постановление Правительства Рязанской области от 23.03.2016 № 51
"О внесении изменений в постановление Правительства Рязанской области от 05 августа 2015 г. № 194 "О региональном стандарте стоимости жилищно-коммунальных услуг"
Номер опубликования: 6200201603280012
Дата опубликования: 28.03.2016
Страница №5 из 10:
Увеличить