Официальное опубликование правовых актов
ОФИЦИАЛЬНОЕ ОПУБЛИКОВАНИЕ
Распоряжение Министерства строительства, архитектуры и территориального развития Ростовской области от 15.12.2025 № 486
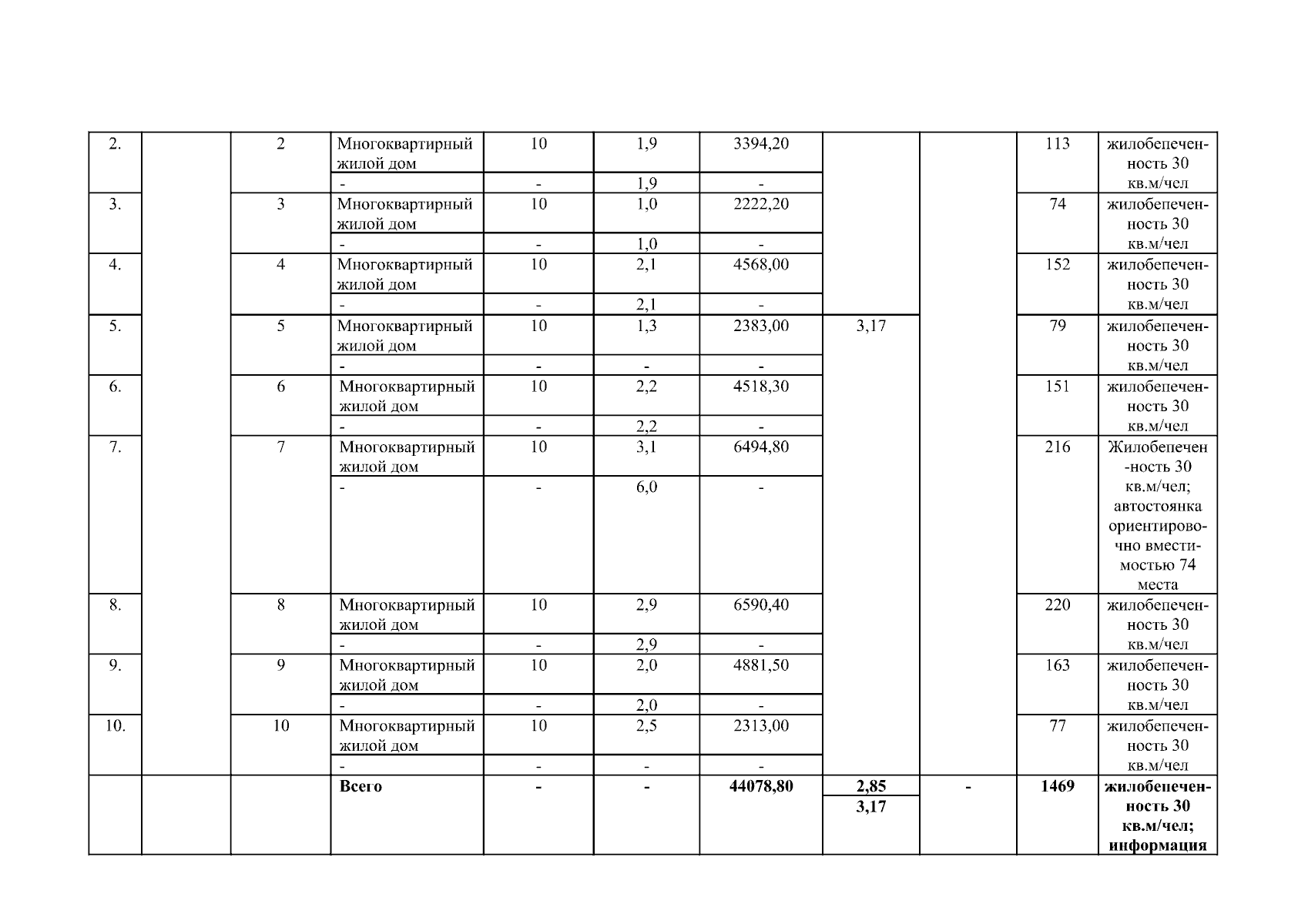
"Об утверждении документации по планировке территории: проект планировки территории в границах: пр-кт Ленина – ул. Профинтерна – ул. Ярослава Галана – ул. Шеболдаева, и проект межевания территории в границах земельного участка с кадастровым номером 61:44:0081630:1003"
(Зарегистрирован 15.12.2025 № 486)
Номер опубликования: 6101202512170122
Дата опубликования: 17.12.2025
Страница №12 из 25:
Увеличить