Официальное опубликование правовых актов
ОФИЦИАЛЬНОЕ ОПУБЛИКОВАНИЕ
Постановление Региональной службы по тарифам Ростовской области от 15.12.2025 № 437
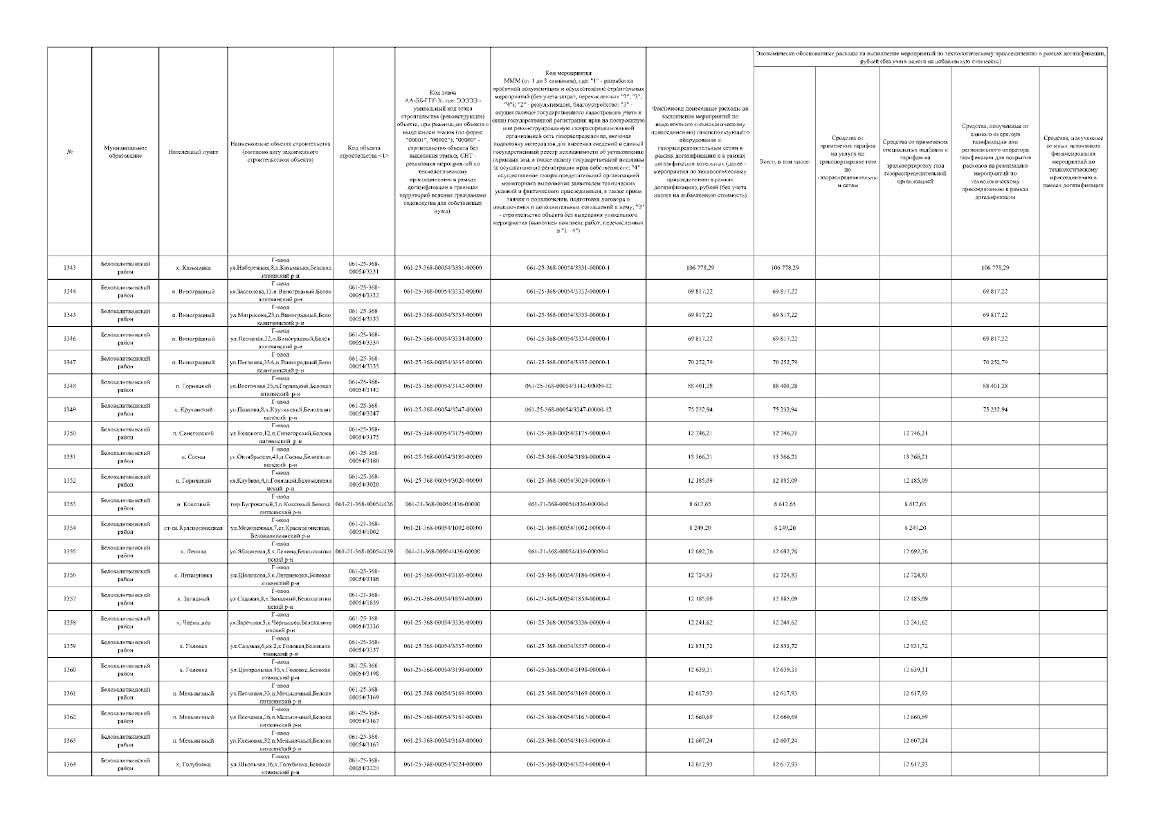
"О внесении изменения в постановление Региональной службы по тарифам Ростовской области от 24.11.2025 № 191 "Об установлении размера экономически обоснованных расходов на выполнение мероприятий на осуществление технологического присоединения газоиспользующего оборудования в рамках догазификации для ПАО "Газпром газораспределение Ростов-на-Дону" за 3 квартал 2025 года"
(Зарегистрирован 15.12.2025 № 437)
Номер опубликования: 6101202512170068
Дата опубликования: 17.12.2025
Страница №57 из 99:
Увеличить