Официальное опубликование правовых актов
ОФИЦИАЛЬНОЕ ОПУБЛИКОВАНИЕ
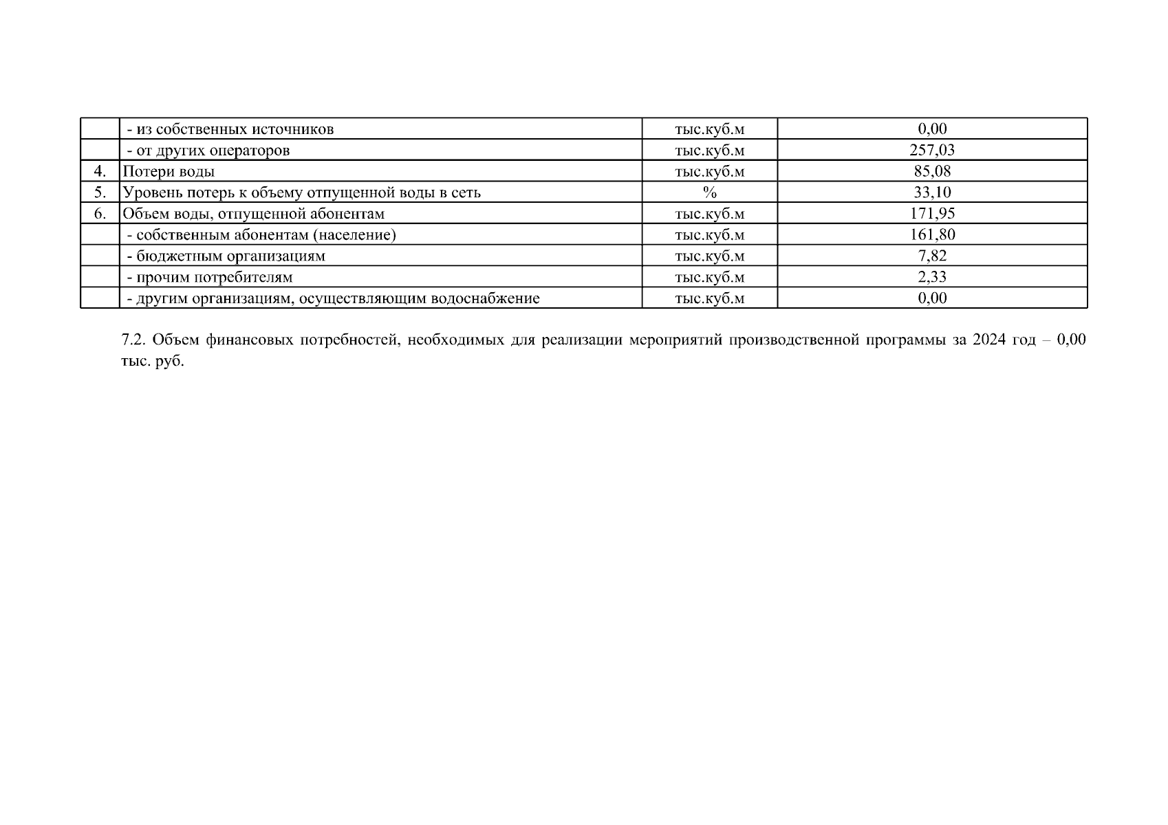
Постановление Региональной службы по тарифам Ростовской области от 15.12.2025 № 507
"О корректировке производственных программ в сфере холодного водоснабжения УМП "Приморский водопровод" (ИНН 6101000150) на 2026 год"
(Зарегистрирован 15.12.2025 № 507)
Номер опубликования: 6101202512170048
Дата опубликования: 17.12.2025
Страница №73 из 73:
Увеличить