Официальное опубликование правовых актов
ОФИЦИАЛЬНОЕ ОПУБЛИКОВАНИЕ
Распоряжение Министерства строительства, архитектуры и территориального развития Ростовской области от 15.10.2025 № 378
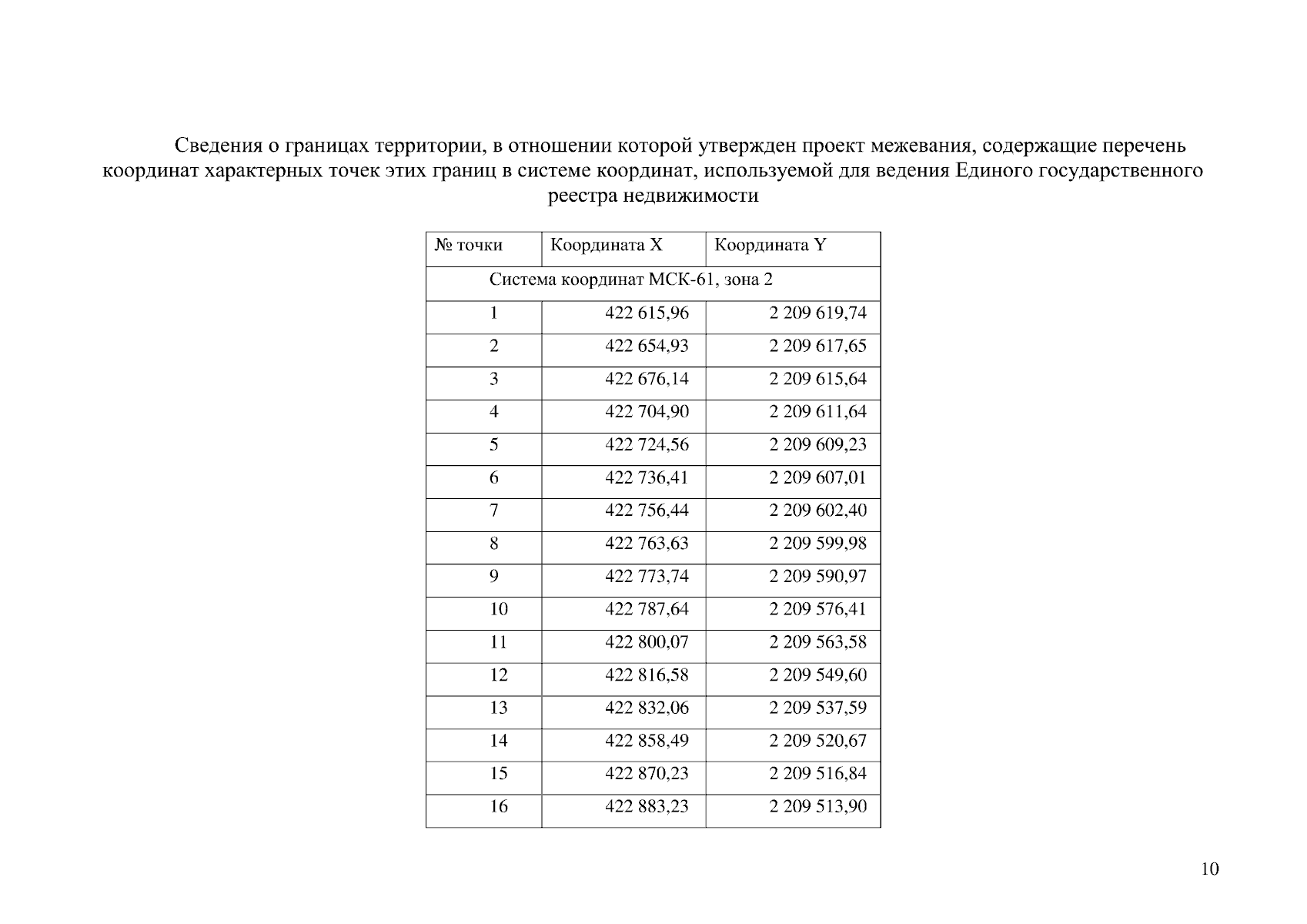
"Об утверждении документации по планировке территории (проект планировки территории и проект межевания территории) в границах: пр-кт 40-летия Победы – пер. Норильский – ул. Солидарности – пер. Боковский"
(Зарегистрирован 15.10.2025 № 378)
Номер опубликования: 6101202510170032
Дата опубликования: 17.10.2025
Страница №10 из 12:
Увеличить