Официальное опубликование правовых актов
ОФИЦИАЛЬНОЕ ОПУБЛИКОВАНИЕ
Постановление Региональной службы по тарифам Ростовской области от 02.10.2025 № 120
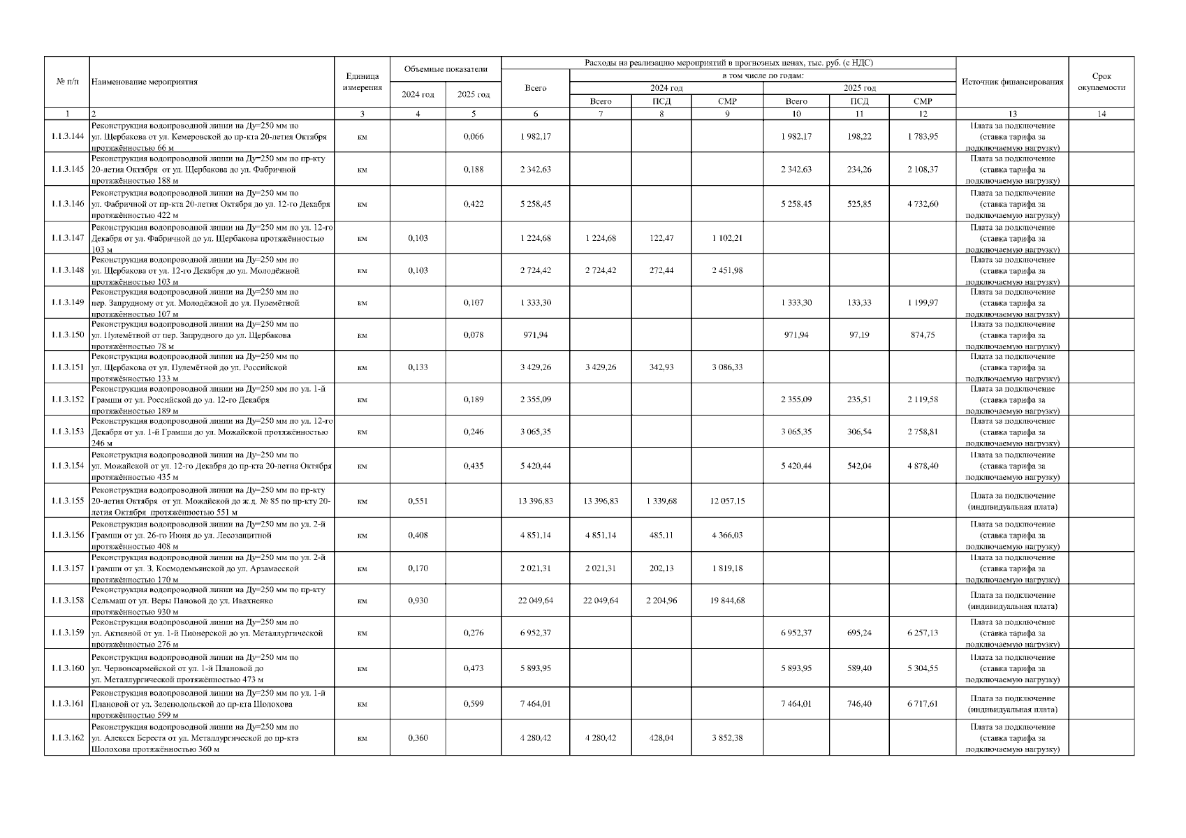
"О корректировке инвестиционной программы АО "Ростовводоканал" (ИНН 6167081833), г. Ростов-на-Дону, осуществляющего холодное водоснабжение и водоотведение, на 2017-2025 годы с выделением I этапа - 2017-2018 годы, II этапа – 2019-2025 годы"
(Зарегистрирован 02.10.2025 № 120)
Номер опубликования: 6101202510030007
Дата опубликования: 03.10.2025
Страница №53 из 74:
Увеличить