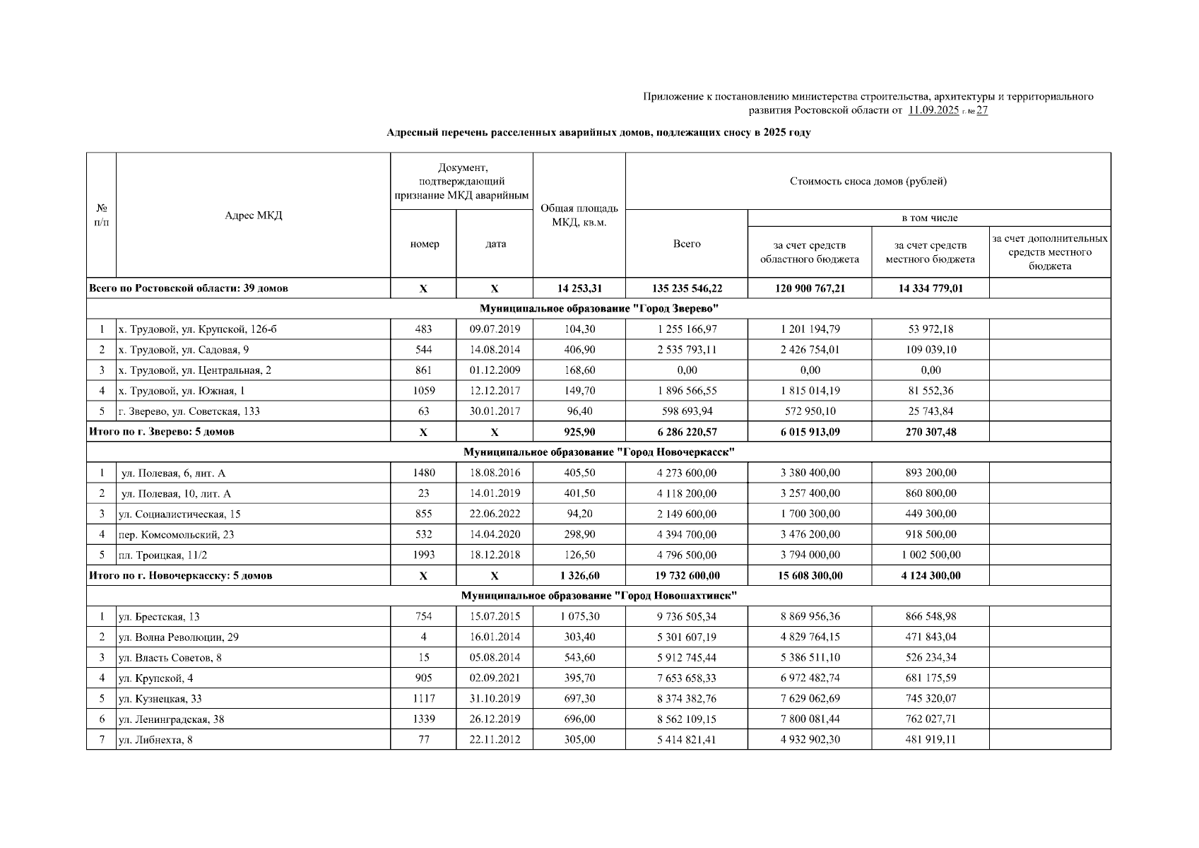
Постановление Министерства строительства, архитектуры и территориального развития Ростовской области от 11.09.2025 № 27
"О внесении изменения в постановление министерства строительства, архитектуры и территориального развития Ростовской области от 20.12.2024 № 33"
(Зарегистрирован 11.09.2025 № 27)
"О внесении изменения в постановление министерства строительства, архитектуры и территориального развития Ростовской области от 20.12.2024 № 33"
(Зарегистрирован 11.09.2025 № 27)
Номер опубликования: 6101202509150001
Дата опубликования:
15.09.2025
