Официальное опубликование правовых актов
ОФИЦИАЛЬНОЕ ОПУБЛИКОВАНИЕ
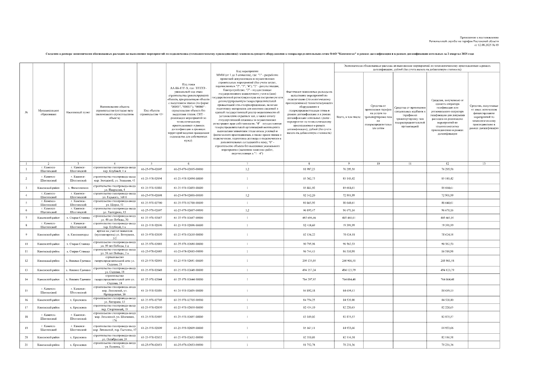
Постановление Региональной службы по тарифам Ростовской области от 12.08.2025 № 89
"Об установлении размера экономически обоснованных расходов на выполнение мероприятий на осуществление технологического присоединения газоиспользующего оборудования физических лиц (за исключением выполнения мероприятий в границах земельных участков, на которых располагаются домовладения этих физических лиц), намеревающихся использовать газ для удовлетворения личных, семейных, домашних и иных нужд, не связанных с осуществлением предпринимательской (профессиональной) деятельности, осуществляемых без взимания с них средств, для ОАО "Каменскгаз" за 2 квартал 2025 года"
(Зарегистрирован 12.08.2025 № 89)
Номер опубликования: 6101202508150024
Дата опубликования: 15.08.2025
Страница №3 из 12:
Увеличить