Официальное опубликование правовых актов
ОФИЦИАЛЬНОЕ ОПУБЛИКОВАНИЕ
Постановление Региональной службы по тарифам Ростовской области от 26.06.2025 № 69
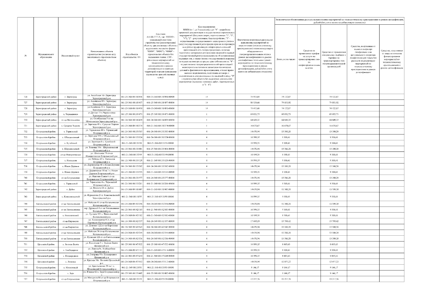
"Об установлении размера экономически обоснованных расходов на выполнение мероприятий на осуществление технологического присоединения газоиспользующего оборудования в рамках догазификации для ПАО "Газпром газораспределение Ростов-на-Дону" за 1 квартал 2025 года"
(Зарегистрирован 26.06.2025 № 69)
Номер опубликования: 6101202506270006
Дата опубликования: 27.06.2025
Страница №33 из 97:
Увеличить