Официальное опубликование правовых актов
ОФИЦИАЛЬНОЕ ОПУБЛИКОВАНИЕ
Постановление Региональной службы по тарифам Ростовской области от 11.02.2025 № 10
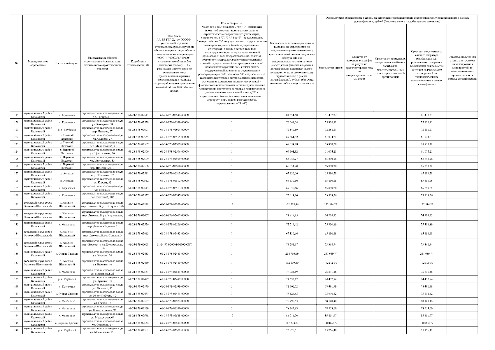
"Об установлении размера экономически обоснованных расходов на выполнение мероприятий на осуществление технологического присоединения газоиспользующего оборудования в рамках догазификации для ОАО "Каменскгаз" за 4 квартал 2024 года"
(Зарегистрирован 11.02.2025 № 10)
Номер опубликования: 6101202502130004
Дата опубликования: 13.02.2025
Страница №9 из 25:
Увеличить