Официальное опубликование правовых актов
ОФИЦИАЛЬНОЕ ОПУБЛИКОВАНИЕ
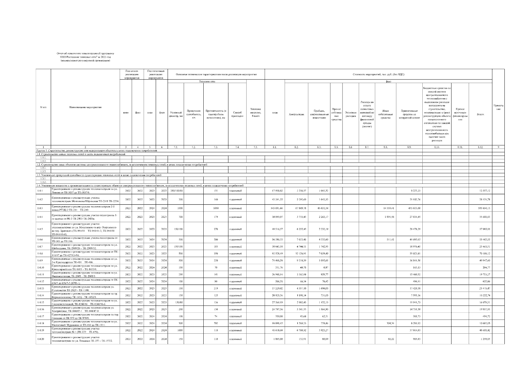
Постановление Региональной службы по тарифам Ростовской области от 15.11.2024 № 508
"О внесении изменений в инвестиционную программу теплоснабжающей организации ООО "Ростовские тепловые сети" (ИНН 3445102073) на 2024 год"
(Зарегистрирован 15.11.2024 № 508)
Номер опубликования: 6101202411150002
Дата опубликования: 15.11.2024
Страница №9 из 11:
Увеличить