Официальное опубликование правовых актов
ОФИЦИАЛЬНОЕ ОПУБЛИКОВАНИЕ
Постановление Региональной службы по тарифам Ростовской области от 30.10.2024 № 394
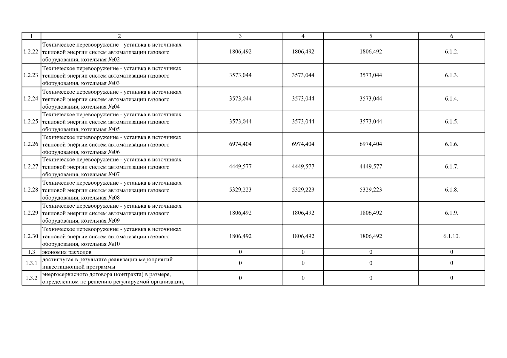
"Об утверждении инвестиционной программы теплоснабжающей организации МУП "Красносулинские городские теплосети" (ИНН 6148557940) (котельные г. Красный Сулин) на 2025 год"
(Зарегистрирован 30.10.2024 № 394)
Номер опубликования: 6101202411010090
Дата опубликования: 01.11.2024
Страница №21 из 22:
Увеличить