Постановление Региональной службы по тарифам Ростовской области от 29.10.2024 № 331
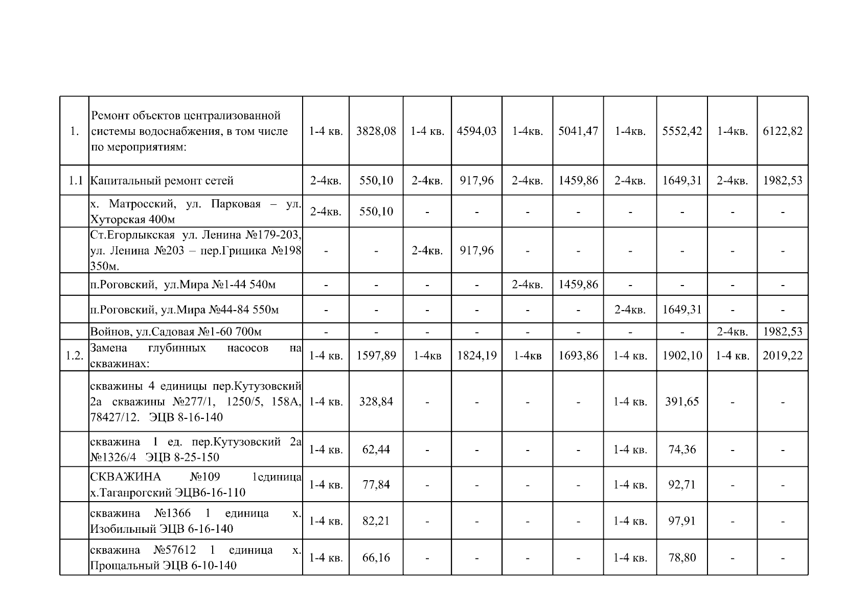
"О корректировке производственных программ в сфере холодного водоснабжения и водоотведения ЕМУП "Коммунальник" (ИНН 6109001290) на 2025 год"
(Зарегистрирован 29.10.2024 № 331)
"О корректировке производственных программ в сфере холодного водоснабжения и водоотведения ЕМУП "Коммунальник" (ИНН 6109001290) на 2025 год"
(Зарегистрирован 29.10.2024 № 331)
Номер опубликования: 6101202411010087
Дата опубликования:
01.11.2024
