Официальное опубликование правовых актов
ОФИЦИАЛЬНОЕ ОПУБЛИКОВАНИЕ
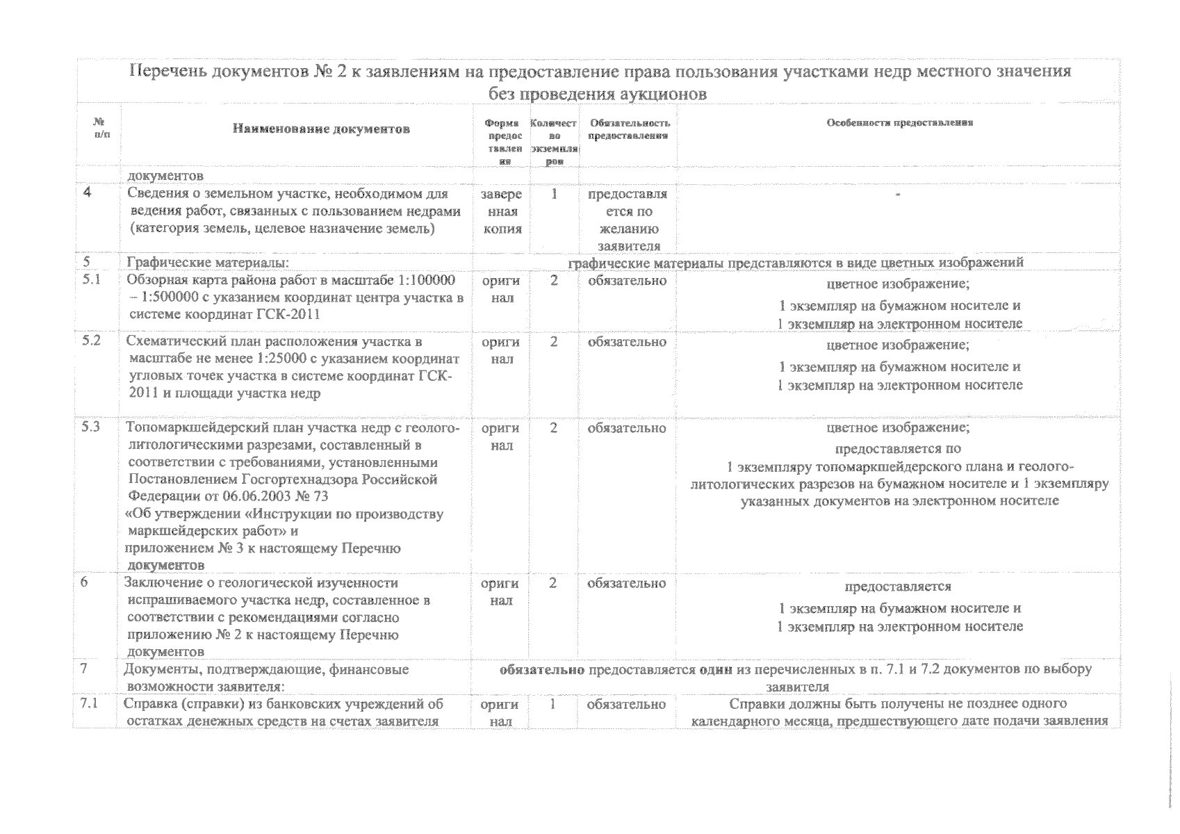
Постановление Министерства природных ресурсов и экологии Ростовской области от 17.05.2024 № 9
"Об утверждении Порядка рассмотрения заявлений на проведение аукционов на право пользования недрами и заявлений на предоставление права пользования недрами без проведения аукциона"
(Зарегистрирован 17.05.2024 № 9)
Номер опубликования: 6101202405230001
Дата опубликования: 23.05.2024
Страница №21 из 30:
Увеличить