Официальное опубликование правовых актов
ОФИЦИАЛЬНОЕ ОПУБЛИКОВАНИЕ
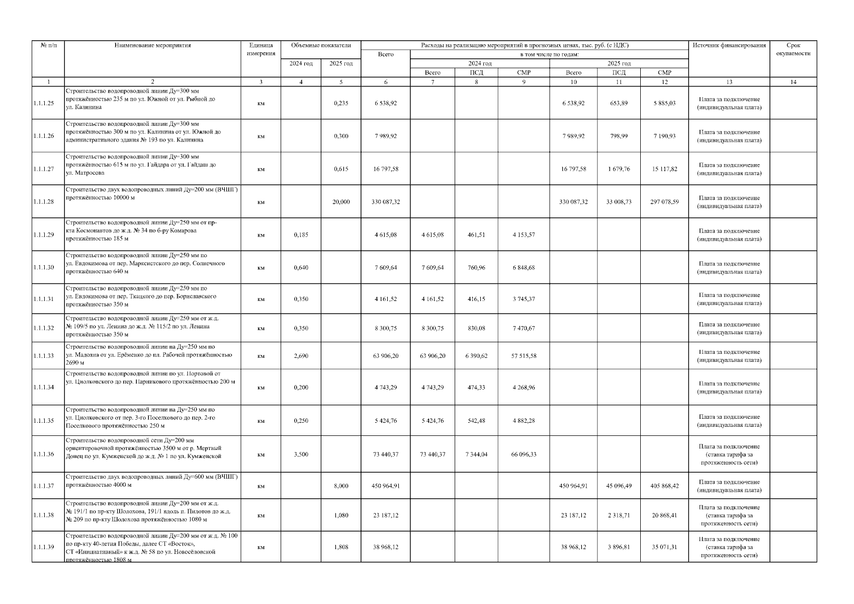
Постановление Региональной службы по тарифам Ростовской области от 21.03.2024 № 33
"О корректировке инвестиционной программы АО "Ростовводоканал" (ИНН 6167081833), г. Ростов-на-Дону, осуществляющего холодное водоснабжение и водоотведение, на 2017-2025 годы с выделением I этапа - 2017-2018 годы, II этапа – 2019-2025 годы"
(Зарегистрирован 21.03.2024 № 33)
Номер опубликования: 6101202403220001
Дата опубликования: 22.03.2024
Страница №30 из 60:
Увеличить