Официальное опубликование правовых актов
ОФИЦИАЛЬНОЕ ОПУБЛИКОВАНИЕ
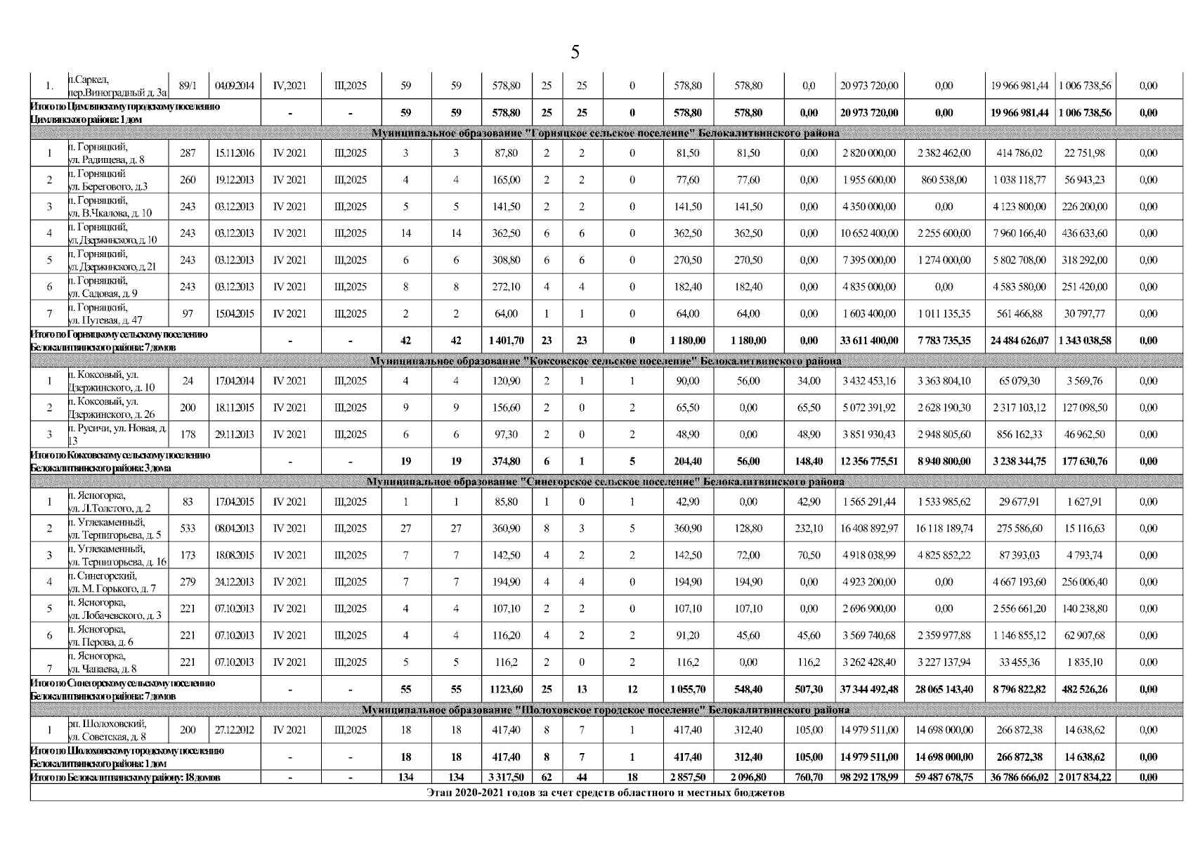
Постановление Министерства строительства, архитектуры и территориального развития Ростовской области от 05.12.2023 № 22
"О внесении изменений в постановление министерства строительства, архитектуры и территориального развития Ростовской области от 30.12.2019 № 22"
(Зарегистрирован 05.12.2023 № 22)
Номер опубликования: 6101202312070001
Дата опубликования: 07.12.2023
Страница №5 из 6:
Увеличить