Официальное опубликование правовых актов
ОФИЦИАЛЬНОЕ ОПУБЛИКОВАНИЕ
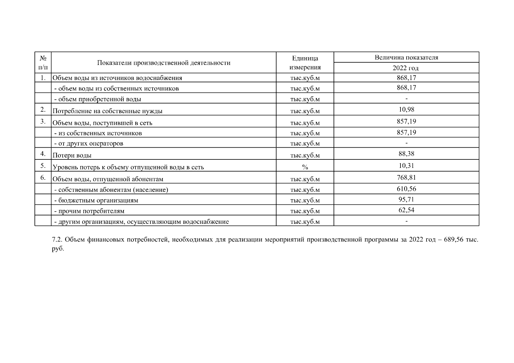
Постановление Региональной службы по тарифам Ростовской области от 15.11.2023 № 557
"Об утверждении производственных программ в сфере холодного водоснабжения и водоотведения МУП "Водник" (ИНН 6116008240) Константиновского городского поселения на 2024-2028 годы"
(Зарегистрирован 15.11.2023 № 557)
Номер опубликования: 6101202311200035
Дата опубликования: 20.11.2023
Страница №13 из 32:
Увеличить