Официальное опубликование правовых актов
ОФИЦИАЛЬНОЕ ОПУБЛИКОВАНИЕ
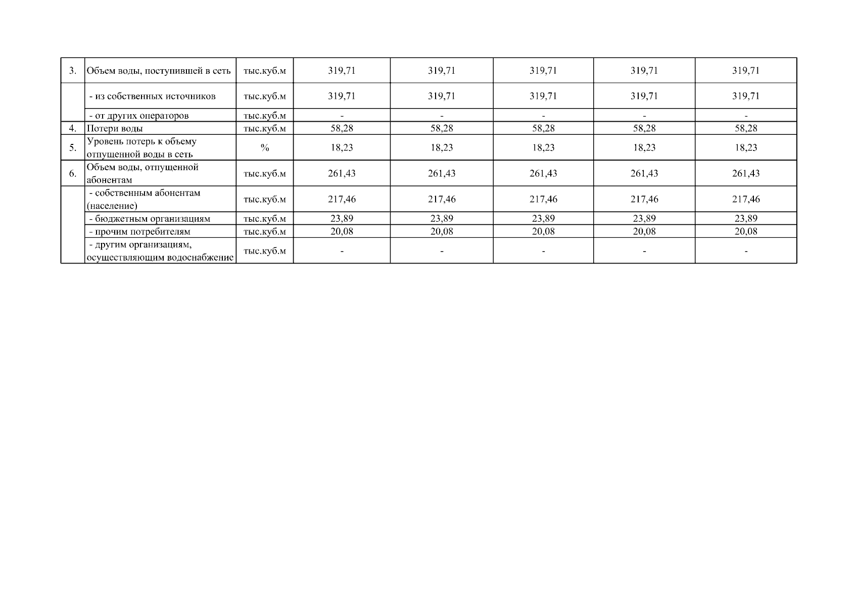
Постановление Региональной службы по тарифам Ростовской области от 15.11.2023 № 568
"Об утверждении производственных программ в сфере холодного водоснабжения и водоотведения МУП "Коммунальщик" (ИНН 6138006126), Чертковский район, на 2024 - 2028 годы"
(Зарегистрирован 15.11.2023 № 568)
Номер опубликования: 6101202311200020
Дата опубликования: 20.11.2023
Страница №3 из 39:
Увеличить