Официальное опубликование правовых актов
ОФИЦИАЛЬНОЕ ОПУБЛИКОВАНИЕ
Постановление Министерства имущественных и земельных отношений, финансового оздоровления предприятий, организаций Ростовской области от 09.08.2023 № 21
"О внесении изменений в постановление министерства имущественных и земельных отношений, финансового оздоровления предприятий, организаций Ростовской области от 11.11.2022 № П-7"
(Зарегистрирован 09.08.2023 № 21)
Номер опубликования: 6101202308100001
Дата опубликования: 10.08.2023
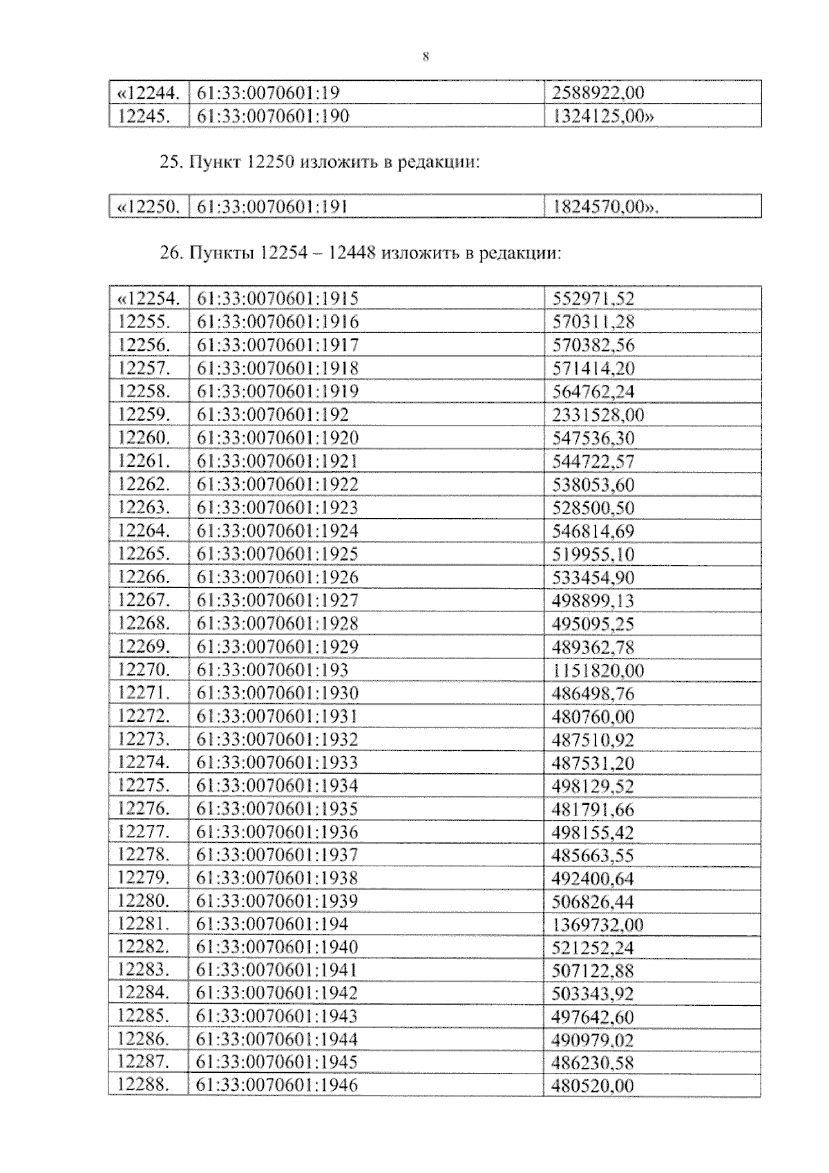
Страница №8 из 23:
Увеличить