Официальное опубликование правовых актов
ОФИЦИАЛЬНОЕ ОПУБЛИКОВАНИЕ
Постановление Региональной службы по тарифам Ростовской области от 17.07.2023 № 93
"О внесении изменений в инвестиционную программу территориальной сетевой организации ООО "Примэнерго" на 2020-2024 годы"
(Зарегистрирован 17.07.2023 № 93)
Номер опубликования: 6101202307180001
Дата опубликования: 18.07.2023
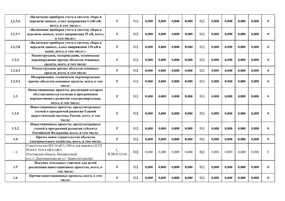
Страница №26 из 32:
Увеличить