Официальное опубликование правовых актов
ОФИЦИАЛЬНОЕ ОПУБЛИКОВАНИЕ
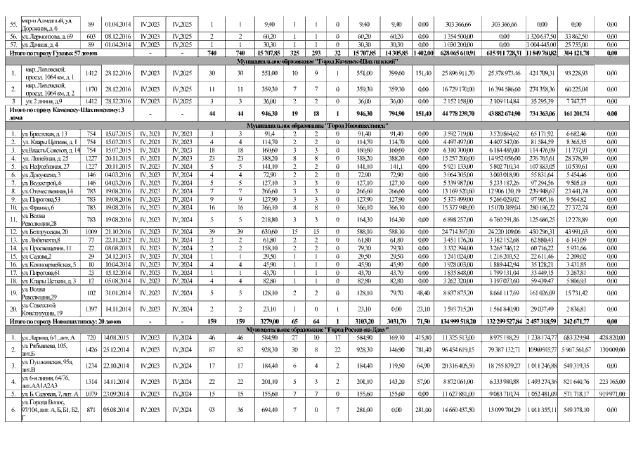
Постановление Министерства строительства, архитектуры и территориального развития Ростовской области от 13.01.2023 № 4
"О внесении изменений в постановление министерства строительства, архитектуры и территориального развития Ростовской области от 17.09.2021 № 21"
Номер опубликования: 6101202301170002
Дата опубликования: 17.01.2023
Страница №4 из 10:
Увеличить