Официальное опубликование правовых актов
ОФИЦИАЛЬНОЕ ОПУБЛИКОВАНИЕ
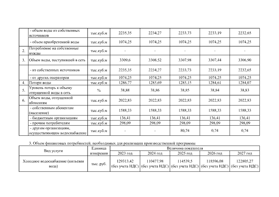
Постановление Региональной службы по тарифам Ростовской области от 30.12.2022 № 78/1
"Об утверждении производственных программ в сфере холодного водоснабжения и водоотведения ГУП РО "УРСВ" (ИНН 6167110467) на 2023-2027 годы"
Номер опубликования: 6101202301040001
Дата опубликования: 04.01.2023
Страница №3 из 80:
Увеличить