Официальное опубликование правовых актов
ОФИЦИАЛЬНОЕ ОПУБЛИКОВАНИЕ
Постановление Министерства строительства, архитектуры и территориального развития Ростовской области от 27.12.2022 № 23
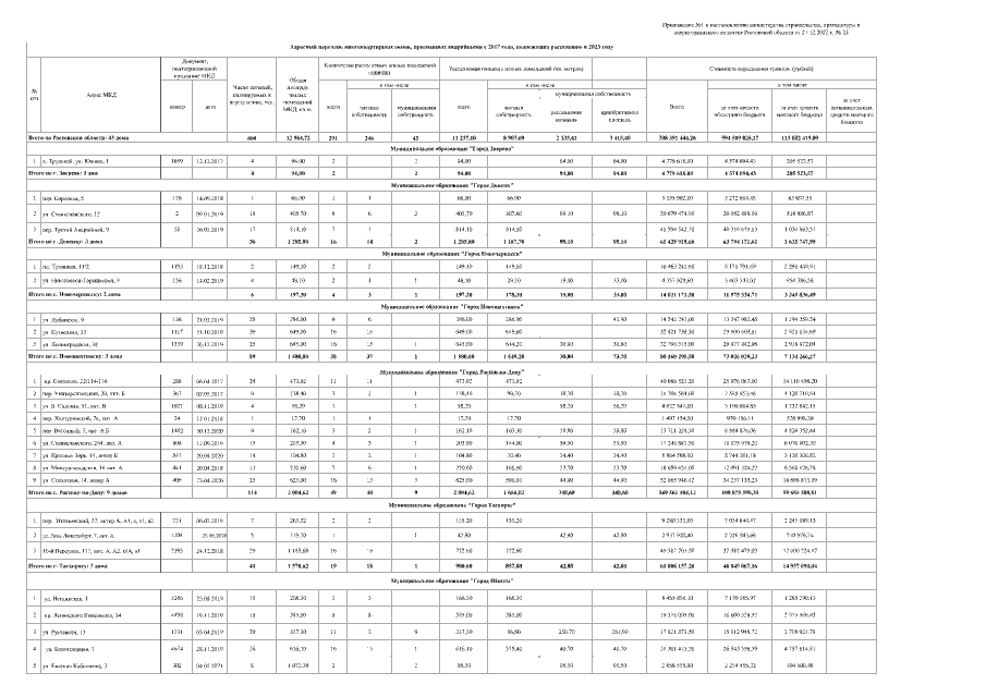
"Об утверждении адресного перечня многоквартирных домов, признанных аварийными с 2017 года, подлежащих расселению в рамках государственной программы Ростовской области "Территориальное планирование и обеспечение доступным и комфортным жильем населения Ростовской области" в 2023 году"
Номер опубликования: 6101202212270006
Дата опубликования: 27.12.2022
Страница №2 из 3:
Увеличить