Официальное опубликование правовых актов
ОФИЦИАЛЬНОЕ ОПУБЛИКОВАНИЕ
Постановление Региональной службы по тарифам Ростовской области от 22.11.2022 № 65/243
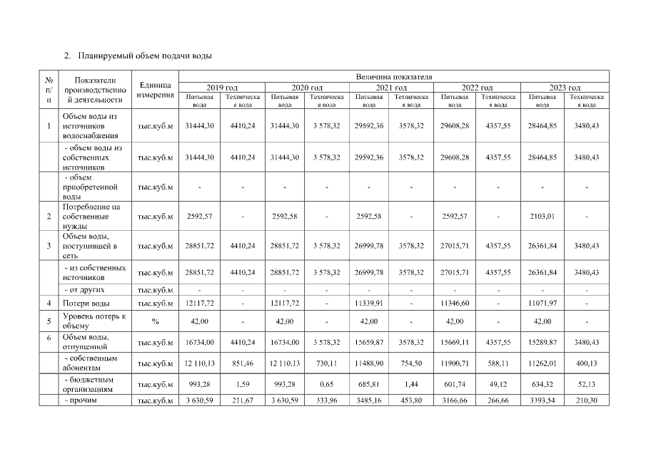
"О корректировке производственных программ в сфере холодного водоснабжения и водоотведения МУП "Управление "Водоканал" (ИНН 6154051373), г. Таганрог, на 2023 год"
Номер опубликования: 6101202211250077
Дата опубликования: 25.11.2022
Страница №3 из 28:
Увеличить