Официальное опубликование правовых актов
ОФИЦИАЛЬНОЕ ОПУБЛИКОВАНИЕ
Постановление Министерства сельского хозяйства и продовольствия Ростовской области от 19.04.2022 № 17
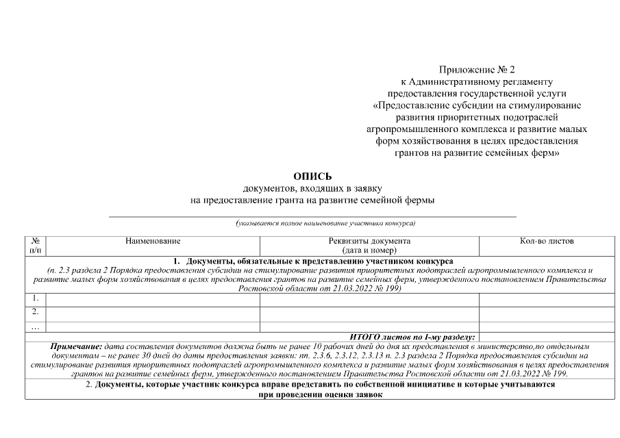
"Об утверждении Административного регламента предоставления государственной услуги "Предоставление субсидии на стимулирование развития приоритетных подотраслей агропромышленного комплекса и развитие малых форм хозяйствования в целях предоставления грантов на развитие семейных ферм"
Номер опубликования: 6101202204210001
Дата опубликования: 21.04.2022
Страница №57 из 152:
Увеличить