Официальное опубликование правовых актов
ОФИЦИАЛЬНОЕ ОПУБЛИКОВАНИЕ
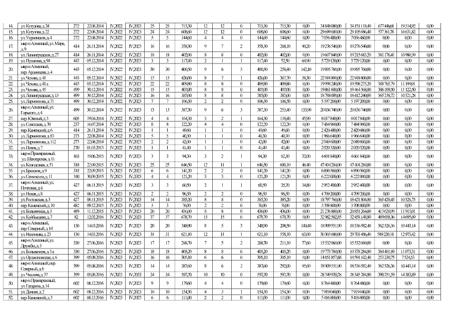
Постановление Министерства строительства, архитектуры и территориального развития Ростовской области от 28.12.2021 № 33
"О внесении изменений в постановление министерства строительства, архитектуры и территориального развития Ростовской области от 17.09.2021 № 21"
Номер опубликования: 6101202112300008
Дата опубликования: 30.12.2021
Страница №3 из 9:
Увеличить