Официальное опубликование правовых актов
ОФИЦИАЛЬНОЕ ОПУБЛИКОВАНИЕ
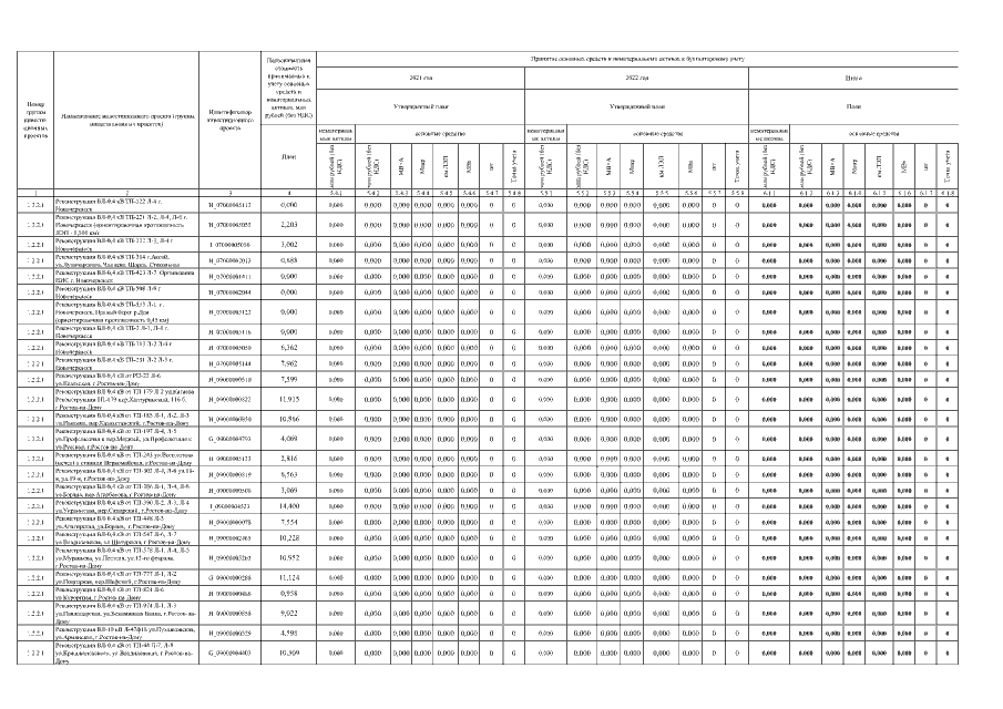
Постановление Региональной службы по тарифам Ростовской области от 27.12.2021 № 73/1
"О внесении изменений в инвестиционную программу территориальной сетевой организации АО "Донэнерго" на 2018-2022 годы"
Номер опубликования: 6101202112290002
Дата опубликования: 29.12.2021
Страница №294 из 600:
Увеличить