Официальное опубликование правовых актов
ОФИЦИАЛЬНОЕ ОПУБЛИКОВАНИЕ
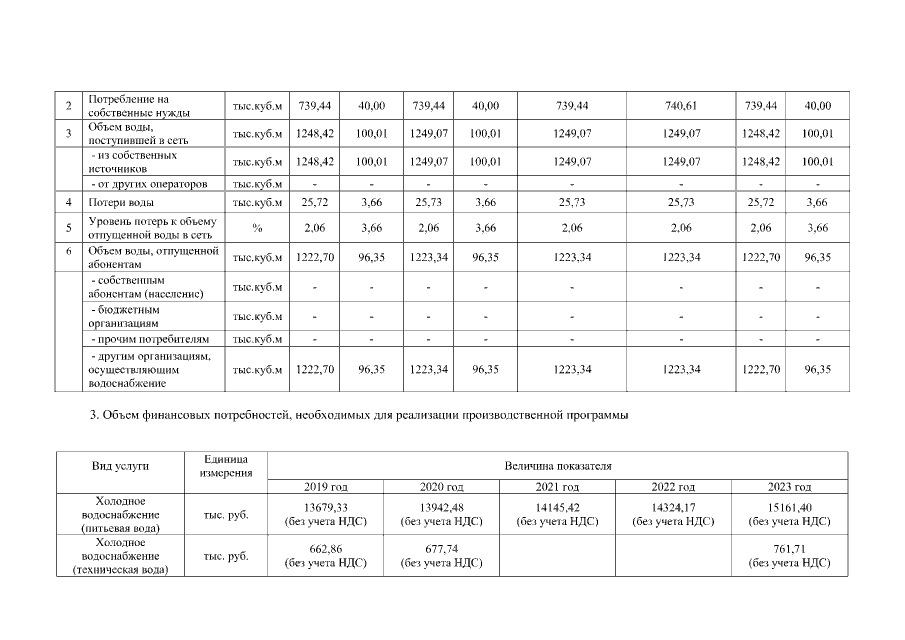
Постановление Региональной службы по тарифам Ростовской области от 09.11.2021 № 57/1
"О корректировке производственной программы в сфере холодного водоснабжения АО "Алюминий Металлург Рус" (ИНН 7709534220), Белокалитвинский район, на 2022 год"
Номер опубликования: 6101202111120002
Дата опубликования: 12.11.2021
Страница №3 из 7:
Увеличить