Официальное опубликование правовых актов
ОФИЦИАЛЬНОЕ ОПУБЛИКОВАНИЕ
Постановление Комитета по охране объектов культурного наследия Ростовской области от 10.09.2021 № 20/01-01/1811
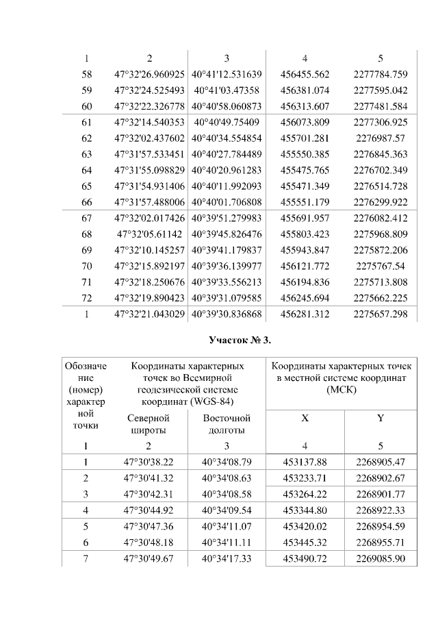
"О включении выявленного объекта культурного наследия "Раздорекий этнографический историко-архитектурный комплекс" (достопримечательного места) в единый государственный реестр объектов культурного наследия (памятников истории и культуры) народов Российской Федерации в качестве объекта культурного наследия регионального значения (достопримечательного места) с наименованием "Раздорский этнографический историко - архитектурный комплекс", нач. ХУ1 — нач. ХХ вв.‚ расположенного по адресу: Ростовская область, Усть-Донецкий район, ст. Раздорская, о. Поречный, х. Пухляковский, о. Гостевой, х. Коныгин, об утверждении предмета охраны, границ территории и требований к осуществлению деятельности в границах его территории"
Номер опубликования: 6101202109100003
Дата опубликования: 10.09.2021
Страница №46 из 70:
Увеличить