Официальное опубликование правовых актов
ОФИЦИАЛЬНОЕ ОПУБЛИКОВАНИЕ
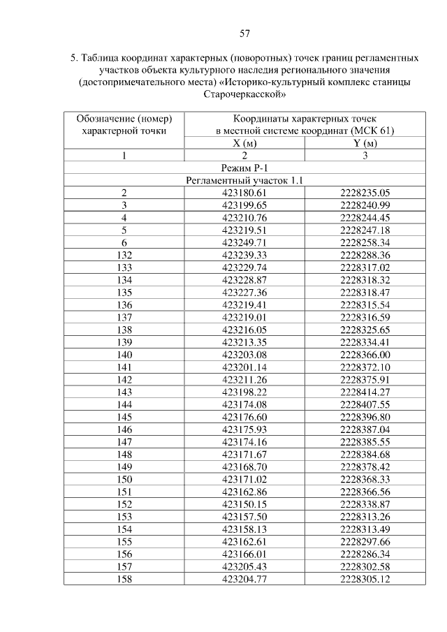
Постановление Комитета по охране объектов культурного наследия Ростовской области от 01.09.2021 № 20/01-01/1762
"О внесении изменения в постановление комитета по охране объектов культурного наследия Ростовской области от 16.12.2019 № 20/01-01/1934"
Номер опубликования: 6101202109070001
Дата опубликования: 07.09.2021
Страница №57 из 83:
Увеличить