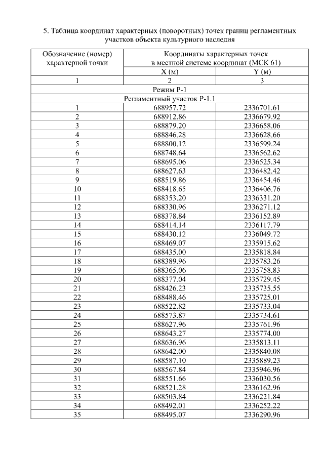
Постановление Комитета по охране объектов культурного наследия Ростовской области от 16.12.2020 № 20/01-01/5273
"Об установлении требований к осуществлению деятельности и градостроительным регламентам в границах территории объекта культурного наследия регионального значения (достопримечательного места) "Озеро Старое" по адресу: Ростовская область, Шолоховский район, Базковское участковое лесничество Шолоховского лесничества, квартал 6, выдел 49; квартал 7, выдел 39"
"Об установлении требований к осуществлению деятельности и градостроительным регламентам в границах территории объекта культурного наследия регионального значения (достопримечательного места) "Озеро Старое" по адресу: Ростовская область, Шолоховский район, Базковское участковое лесничество Шолоховского лесничества, квартал 6, выдел 49; квартал 7, выдел 39"
Номер опубликования: 6101202012220005
Дата опубликования:
22.12.2020
